【引言】
金属有机框架材料是一种多孔的,化学结构可调节的固体,已作为吸附剂被应用于气体分离领域,其吸附方式符合朗缪尔吸附曲线。然而,这种吸附方式气体选择性和工作容量的矛盾不可调和。协同吸附可以解决这一问题。通过协同可以在较窄的压力范围内实现大量气体的吸附,形成阶梯型吸附等温线。由于气体温度依赖于压力,因此该种吸附方式可以在温度波动不大时实现高工作容量。协同吸附,是通过最原始的键合方式促进对附加底物分子的摄取,这种作用被用于生物体系如血红素中,其分子活性位点是相互影响的。模仿血红素中的键合方式,使包含未饱和、独立金属活性位点的金属有机框架材料,令位点连接,可以成为既具有协同性又具有选择性的吸附剂。
【成果简介】
近期,Jeffrey R. Long课题组在Nature上发表了题为“A spin transition mechanism for cooperative adsorption in metal–organic frameworks”的文章。他们通过探究一氧化碳在一系列具有不饱和二价铁离子的三唑基金属框架材料的选择性吸附作用提出了一种自旋转换机制,在这种机制中,临近的二价铁离子位点在CO临界压力条件下发生了自旋态的转变,使得材料在温度变化较小的范围内展现出巨大的CO气体分离容量,该机制解释了CO吸附过程中出现阶梯型吸附等温线的现象。研究人员借助Fe2Cl2(bbta)和Fe2Cl2(btdd)(注:结构图见图二)两种金属框架材料,使用XRD衍射,穆斯堡尔谱,直流磁化率测量,红外光谱等测试手段,来验证这种机制。该机制有利于实现高效的CO分离,通过控制开放金属位点的电子性质可以实现协同吸附剂的设计。
【图文导读】
一、理想条件下吸附等温曲线和协同自旋机制示意图

(a)传统吸附剂理想气体吸附等温线及工作容量;
(b)协同吸附剂理想气体吸附等温线及工作容量(Pads和Pdes分别是吸附和脱附压力,Tlow,Tmed和Thigh表示低温,中等温度和高温)从图中可以看到,和传统吸附剂相比,协同吸附剂使用更小的温度变化可以实现更多的工作容量增加;
(c)协同自旋转换机制示意图,在CO分压低于吸附等温线中的步压时,观察到的全部为高自旋二价Fe离子(橙色球标注),随着压强的增加,部分高自旋二价Fe离子转化为低自旋二价Fe离子(粉色球标注),当压强进一步增加超过步压时,Fe离子全部转化为低自旋二价Fe离子。(灰色,绿色,橙色,粉色,蓝色和红色球体分别代表C原子,Cl原子,高自旋二价Fe离子,低自旋二价Fe离子,N原子和O原子)
二、固态结构

(a)从XRD衍射分析得到的Fe2Cl2(bbta)部分结构,显示出六角形排列;
(b)从XRD衍射分析得到的Fe2Cl2(btdd)部分结构,亦显示出六角形排列;
(c)螺旋铁氯化三唑链沿c轴结构图,相邻铁原子间距为3.361(5)埃,其中括号中数字代表估计的标准偏差;(灰色,绿色,橙色,蓝色和红色球体分别代表C原子,Cl原子,Fe原子,N原子和O原子,为了简化结构示意图,氢原子被省略)
(d)H2bbta的分子结构;
(e)H2btdd的分子结构。
三、自旋转换机制的表征

(a)Fe2Cl2(bbta)的固体结构(上图)和吸附2个CO分子后的固体结构(下图)(灰色,绿色,橙色,蓝色和红色球体分别代表C原子,Cl原子,Fe原子,N原子和O原子,为了简化结构示意图,氢原子被省略);
(b)300mbarCO压力,波长0.72768埃时Fe2Cl2(bbta)的不同温度时的XRD衍射图数据,其中红线标注部分为高自旋组分的峰,蓝线标注部分为低自旋CO键合组分的峰;
(c)25℃,不同CO分压条件下Fe2Cl2(bbta)的红外光谱。
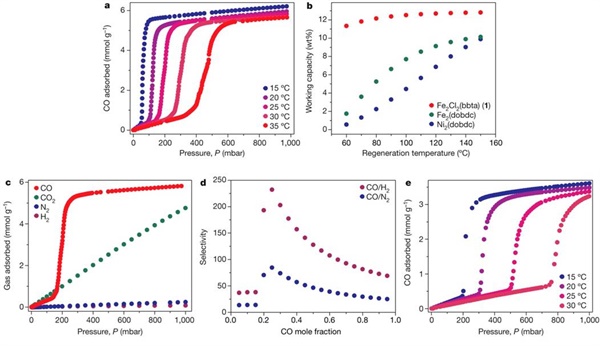
四、气体吸附等温曲线,工作容量和摩尔选择性数值

(a)控制不同温度条件的Fe2Cl2(bbta)的CO吸附等温线;
(b)Fe2Cl2(bbta) ,Fe2(dobdc)和Ni2(dobdc)的回收温度和工作容量曲线;
(c)25℃条件下,Fe2Cl2(bbta) 对CO,CO2,N2,H2等不同气体的吸附等温线;
(d)CO混合N2或H2时Fe2Cl2(bbta)的选择性曲线,其中,CO原子比为横坐标;
(e)控制不同温度时Fe2Cl2(btdd)的CO吸附等温线。
【小结】
本工作中,研究人员在如何实现MOF材料的协同吸附的过程中,提出了一种协同自旋转换机制,并用该机制解释了CO吸附的阶梯型吸附等温曲线,随后通过一系列表征手段验证了该机制。协同自旋转换机制提供了一种有效的调节吸附剂来实现分离效率提高的途径。
文献链接:A spin transition mechanism for cooperative adsorption in metal–organic frameworks(Nature, 2017, doi: 10.1038/nature23674)
欢迎大家到材料人宣传HTH官网地址 成果并对文献进行深入解读,投稿邮箱tougao@cailiaoren.com。
本文由材料人编辑部张学瑞编辑,黄超审核,点我加入材料人编辑部。
材料测试,数据分析,上测试谷!





