【引言】
由于其较强的可见光吸收能力和较窄的带隙(2.7 eV),g-C3N4拥有良好的分解水制氢催化活性。此外,不同于金属催化剂,g-C3N4具有热稳定性高、无毒环保、制备成本低等优越的性能,有望在能源和环境领域得到实际应用。但在g-C3N4光催化反应过程中,光生电子-空穴对的快速复合阻碍了催化活性的进一步提升。因此到目前为止,已有大量工作致力于解决该问题。例如,将g-C3N4与其他半导体材料复合形成异质结,可有效提高光吸收以及阻止电子-空穴对复合,进而提升其光催化活性。
【成果简介】
近日,燕山大学刘日平教授、张新宇教授和泰国朱拉隆功大学秦家千研究员(共同通讯作者)等报道了一种具有较窄带隙以及较长载流子寿命的微量碳掺杂TiO2改性g-C3N4(C-TiO2/g-C3N4) ,并在Nano Energy上发表了题为“Rational design of carbon-doped TiO2 modified g-C3N4 via in-situ heat treatment for drastically improved photocatalytic hydrogen with excellent photostability”的研究论文。上述异质结光催化剂可通过简单的热处理法合成。光生载流子分离增强以及较窄的带隙使得光催化活性有所提升,在三乙醇胺溶液中5 h和64h内氢气产生量分别为5.728 mmol/g和52.395 mmol/g。420 nm处C-TiO2/g-C3N4的表观量子效率约为6.2%,是原始g-C3N4(2.6%)的2.4倍。由于其优越的光催化性能和较强的光稳定性,该光催化剂有望在光能转换和环境修复等领域得到实际应用。
【图文简介】
图1 C-TiO2/g-C3N4异质结的制备及形貌表征

a) C-TiO2/g-C3N4异质结的制备示意图;
b-d) C-TiO2/g-C3N4异质结的(HR)TEM图。
图2 异质结材料的晶相结构表征

a) CN和C-TiO2/g-C3N4异质结光催化剂的XRD谱图;
b) 2θ=24°~30°处XRD谱线放大图。
图3 异质结材料的XPS谱图比较

a) CN和CC3样品的C1s高分辨XPS谱图;
b) CN和CC3样品的N1s XPS谱图;
c) TO样品的C1s XPS谱图。
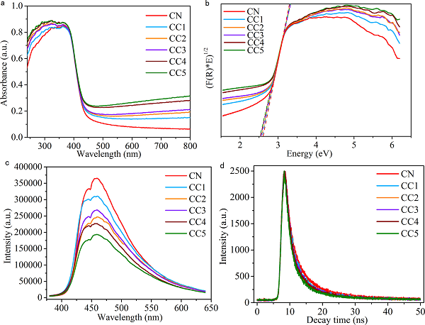
图4 异质结材料的光吸收和载流子分离能力表征

a) 异质结体系的DRS谱图;
b) DRS谱图相应的hν对(αhν)1/2图;
c) 异质结体系的PL谱图;
d) 异质结体系的瞬态荧光谱图。
图5 CN 和CC1~CC5样品的光电性能测试

a,b) 在黑暗/可见光下线性扫描伏安法曲线;
c) EIS测试;
d) Mott-schottky曲线;
e,f) CN and CC3在可见光照射下的瞬态光电流。
图6 异质结材料的光催化制氢活性

a) 材料体系的光催化制氢活性比较;
b) CN 和CC3在连续20 h照射下的光催化制氢循环稳定性;
c) CN、CC3、TC和PC光催化制氢活性比较;
d) CC3和CN可见光下64 h光催化制氢长效稳定性;
e) CN和CC3在420 nm单色光下10 h的光催化制氢活性。
图7 异质结体系活性增强的机理解释

a) C-TiO2/g-C3N4异质结光催化剂的反应机理;
b) C-TiO2/g-C3N4异质结HSE06复合泛函DOS计算;
c) C-TiO2/g-C3N4异质结电荷密度差异以及相应的平面平均电荷密度差异。
【小结】
通过热处理均匀混合的TiC和尿素,研究人员制备了C-TiO2/g-C3N4异质结光催化剂。相比原始的CN和TiC前体,C-TiO2/g-C3N4具有优越的光催化活性,在15 h的光稳定性循环试验表现良好。420 nm处C-TiO2/g-C3N4的表观量子效率约为6.2%,是原始g-C3N4(2.6%)的2.4倍。C-TiO2/g-C3N4光催化活性的提升归因于光生电子空穴对的复合几率降低以及窄带隙所致的光吸收能力增强。由于其优越的光催化性能和较强的光稳定性,该光催化剂有望在光能转换和环境修复等领域得到实际应用。
文献链接:Yang C, Qin J, Xue Z, et al. Rational design of carbon-doped TiO2 modified gC3N4 via in-situ heat treatment for drastically improved photocatalytic hydrogen with excellent photostability[J]. Nano Energy, 2017.
本文由材料人编辑部肖杰编译,周梦青审核,点我加入材料人编辑部。
材料测试,数据分析,上测试谷!





