
【引言】 超塑性合金是指那些具有超塑性的金属材料。所谓超塑性,是当金属在适当的温度下变得像软糖一样柔软,而且其应变速度为每秒10毫米时产生300%以上的延伸率,...

【引言】 近年来,随着汽车工业和电子工业以及航空航天的迅速发展,对降低结构件自重、提高便携性、降低能耗和减震降噪性等方面都提出了更高的要求。镁合金具有密度小(1...

【引言】 在微重力或零重力条件下,合金熔体在凝固过程中自然对流和热毛细现象大大减少。因此在微重力或零重力条件下凝固的合金组织与平衡凝固的合金组织有很大的区别。考...

【引言】 PH13-8Mo是一种低碳含量、沉淀硬化型马氏体不锈钢,其特点在于具有高强度的同时,兼有良好的耐蚀和耐应力腐蚀性能,为航空航天等对材料强度和抗腐蚀均有...

【引言】 锌和锌涂层产品广泛应用于日常生活中。然而,由于锌的电位低,容易被腐蚀。通过阻碍下面金属基底的电化学反应,表面改性被认为是一种有效的防腐蚀策略。目前,已...

【引言】 近几年来,由于对燃油效率、节能减排和安全设计等要求的不断提高,拥有高强度和良好塑形的先进高强度钢(AHSS)受到了科学家们的广泛关注。相变诱导塑性(T...

【引言】 镁(Mg)由于其质量轻、储存丰富而广受欢迎,近年来,人们为了开发高强度,高温蠕变抗性铸造Mg合金,做了大量探索。基于Abaspour等人提出的溶质对M...


【引言】 铝合金被广泛应用于许多领域,如汽车工业、造船、航空航天、建筑和医学。 在大多数情况下,这些领域要求铝合金表面具有一些特殊性能。应用在医疗领域和海洋领域...


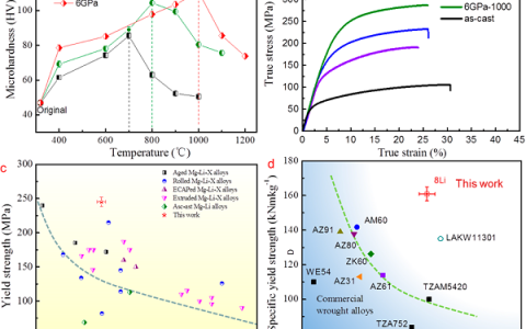
【引言】 镁合金由于其质量小,比强度高,可铸性等特性受到了大量的关注。然而,两个致命的问题限制了其发展——常温下相对强度低和冷加工性差。到目前为止,由于孪晶界面...

【引言】 钢铁,世界上应用最广泛的工程材料,其防腐蚀性具有重要意义,如今已研究出多种有效的方法改善钢材的耐腐蚀性能。其中磷酸盐涂层由于其经济性及良好的耐磨性,广...

1 前言 腐蚀给金属材料造成的直接损失巨大。有人统计每年全世界腐蚀报废的金属约一亿吨,占年产量的20%~40%。而且随着工业化的进程,腐蚀问题日趋严重化,美国1...

【引言】 Al-5%铸造合金是可热处理铝合金之一,广泛应用于航空航天工业的大型薄壁部件。在工业中,控制淬火速率是控制热处理铝合金的机械性能的主要方法。为防止不可...

【引言】 TiAl基合金具有低密度,优异的抗蠕变性和高温强度,且高温下抗氧化性能良好。因此成为航空航天等领域最具吸引力的高温结构材料之一。然而,由于其断裂韧性的...

1 单晶高温合金 高温合金是指以铁、镍、钴为基体,能在600℃以上的高温及一定应力作用下长期工作的一类金属材料;并具有较高的高温强度,良好的抗氧化和抗腐蚀性能,...

【引言】 近几年来,基于节约能源和保护环境的目的,轻质合金引起了科研人员的广泛关注。镁理合金作为地球上最轻的结构合金,由于其有着比强度高、比刚度高、密度低及阻尼...

【引言】 二维金属的过渡金属硫化物(MTMD)已经作为一种新兴的材料出现在电子相位工程、二维超导、磁体等新型的电子应用中。虽然能够使用机械剥离法来获取这样的二维...

【引言】 由于其优异的高温强度和耐热腐蚀性,INCONEL 738高温合金被广泛用于航空发动机和燃气轮机的受热区域。但制造成本高,因此修复在恶劣使用环境中损坏的...

【引言】 在工业中,由于结构钢的疲劳破坏造成的事故与损失常有发生,因而如何提高结构钢的疲劳寿命将是一个巨大的挑战,很多研究人员正在努力解决这个难题。在过去几十年...
