【引言】
在微重力或零重力条件下,合金熔体在凝固过程中自然对流和热毛细现象大大减少。因此在微重力或零重力条件下凝固的合金组织与平衡凝固的合金组织有很大的区别。考虑到在国际空间站或宇宙飞船上进行凝固实验的成本太高,研究人员一般采用落管技术来模拟合金熔体在失重条件下的凝固并研究组织的演变过程和机理。但是通过落管技术制备的合金尺寸很小,故无法通过常规的力学测试手段,如室温拉伸、显微硬度,来测试合金的力学性能,所以通常采用纳米压痕来进行力学性能测试。
【成果简介】
近日,来自中国西北工业大学的魏炳波院士(通讯作者)在Acta Mater.上发表了一篇名为“Structural evolution and micromechanical properties of ternary AlAgGe alloy solidified under microgravity condition”的文章。研究人员通过落管法来获得研究所需的微重力条件,同时通过XRD、SEM、TEM等表征了不同尺寸的合金液滴凝固后的显微组织,并用纳米压痕实验和恒载荷划痕实验测试了其相应的力学性能。
通过实验发现:在微重力情况下,随着合金液滴的尺寸减小,凝固后的组织更加均匀,相应的力学性能更好;相比与DSC样品,在微重力情况下,由于较大的冷却速率和过冷度以及自然对流受限,凝固后的样品表面形成一层(Ge)层。
【图文导读】
图1:Al-Ag-Ge三元合金相图

A点代表所研究的合金成分:Al57Ag12Ge31;由于A点位于(Ge)相区,则在平衡凝固过程中的(Ge)为初生相。
图2:Al57Ag12Ge31合金的DSC图和XRD分析

(a) DSC曲线;
(b) XRD分析结果:(Ge)为主要相,其次是Ag2Al最后是(Al)。
图3:DSC样品的微观结构分析

(a) 样品的金相图;
(b) (a)中局部放大金相图;
(c) (a)中局部放大SEM图;
(d-f) (b)中①点、②点和③点的EDS分析结果。
图4:不同尺寸的合金液滴在微重力条件下凝固后的光学显微图片

(a) 平均直径d= 540µm;
(b) 平均直径 d=300 µm;
(c) 平均直径d=100 µm。
图5:不同尺寸的合金液滴在微重力条件下凝固后的SEM图

(a) 平均直径d= 480µm;
(b) 平均直径d=250 µm;
(c) 平均直径d=140 µm。
图6:合金液滴在微重力条件下三条凝固路径示意图

随着合金液滴的尺寸的减小,凝固途径依次为途径A→途径B→途径C。途径A:液相→树枝状(Ge)初晶→Ag2Al枝晶→Ge)和(Al)的共晶;途径B:液相→(Ge)和Ag2Al的共晶→(Ge)和(Al)的共晶;途径C:液相→(Ge)、Ag2Al和(Al)的三元共晶。
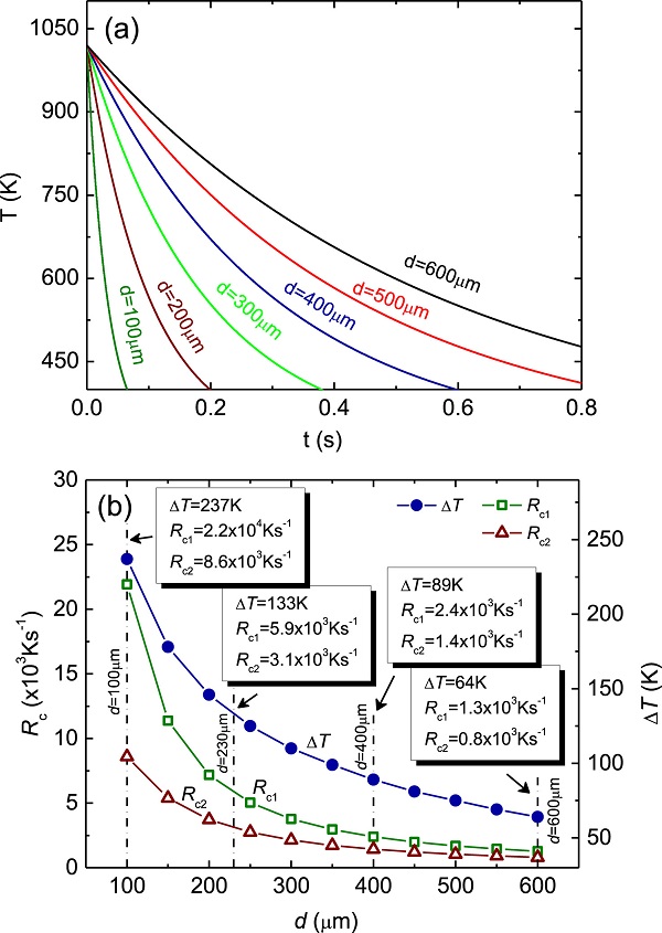
图7:合金液滴的冷却曲线以及冷却速率与过冷度随液滴平均尺寸的变化曲线

(a) 冷却曲线;
(b) 冷却速率Rc与过冷度ΔT随液滴平均尺寸d的变化曲线,Rc1和Rc2分别是下落前的冷却速率和下落时凝固前的冷却速率;冷却速率由Newtonian模型算出,ΔT也是由相应的传热模型算出。
图8:(Ge)层的形成

(a) (Ge)层的形成的示意图;VS代表向下的自然对流速率,Vmt代表由温度梯度产生向里的Ge的迁移速率,Vmc代表由浓度梯度产生的向外的Ge的迁移速率;
(b) (Ge)层厚度δ与形成的可能性Ps随液滴平均尺寸d变化曲线。
图9:不同尺寸的合金液滴在微重力条件下凝固后的显微硬度结果

Regime1 代表相应尺寸下的合金液滴凝固后的组织为树枝晶加二元共晶组织;Regime2 代表相应尺寸下的合金液滴凝固后的组织为二元共晶组织;Regime3 代表相应尺寸下的合金液滴凝固后的组织为三元共晶组织。
图10:不同尺寸的合金液滴在微重力条件下凝固后的力学性能

(a) 尺寸为530 µm 的金属液滴凝固后的划痕的三维形貌;
(b) (a)中划痕截面,分别为堆出高度和划痕深度;
(c) hp和hr随着液滴尺寸d的变化曲线;
(d) 名义堆出高度rp(rp=hp/hr)随着液滴尺寸d的变化曲线;
(e) 屈服强度σs和应变硬化指数n随着液滴尺寸d的变化曲线;
(f) rp和σs/E*随着硬度Hm的变化曲线,E*为减少的弹性模量。
图11:不同尺寸的合金液滴在微重力条件下凝固后的摩擦行为(以DSC样品为参比样品)

(a) 摩擦系数f沿着划痕方向的变化曲线;
(b) 平均摩擦系数fm随着液滴尺寸d变化曲线。
【小结】
通过研究发现:随着合金液滴直径从600µm减小到120µm,冷却速率达到了7.2×103K.s -1,而过冷度达到了211K,最终导致合金的凝固后的组织发生了改变:从树枝状(Ge)初晶+Ag2Al枝晶+(Ge)和(Al)的共晶→(Ge)和Ag2Al的共晶+(Ge)和(Al)的共晶→(Ge)、Ag2Al和(Al)的三元共晶,而(Ge)也变得越来细小弥散,从而导致合金的力学性能的提高。另外(Ge)层的形成是由于由浓度梯度产生的向外的Ge的迁移速率大于由温度梯度产生向里的Ge的迁移速率。随着合金液滴的尺寸变小,冷却速率和过冷度的同时增大,从而导致Ge来不及向外扩散,最终导致(Ge)层厚度的减小。
文献链接:Structural evolution and micromechanical properties of ternary Al-Ag-Ge alloysolidified under microgravity condition(Acta Mater,DOI: 10.1016/j.actamat.2017.09.033)
本文由材料人编辑部新人组刘冠华编译,陈炳旭审核,点我加入材料人编辑部。
材料测试,数据分析,上测试谷!





