【成果简介】
近日,中国科学技术大学国家同步辐射实验室教授韦世强和特任教授姚涛课题组在利用同步辐射X射线吸收谱学(XAFS)技术精确设计单活性位点钴基催化剂实现太阳光驱动自发水分解研究中取得新进展,相关研究成果发表在期刊Angew. Chem. Int. Ed. ,并被编辑选为当期热点文章“Hot Paper”,同时作为“Frontispiece”进行亮点报道。论文的共同第一作者是博士生刘炜和研究生曹林林。
【图文导读】
图1 水分解示意图

(a)在Co1-磷化物/ PCN光催化剂上太阳能驱动的水分解示意图
(b)代表性的HAADF-STEM图像
(c)对应于(b)中橙色方块的面积的放大HAADF-STEM图像
(d)HAADF-STEM图像(c)中沿着X-Y线的强度分布
(e)Co1-磷化物/ PCN的元素映射
(f)稳态荧光光谱
(g)时间分辨荧光动力学分析
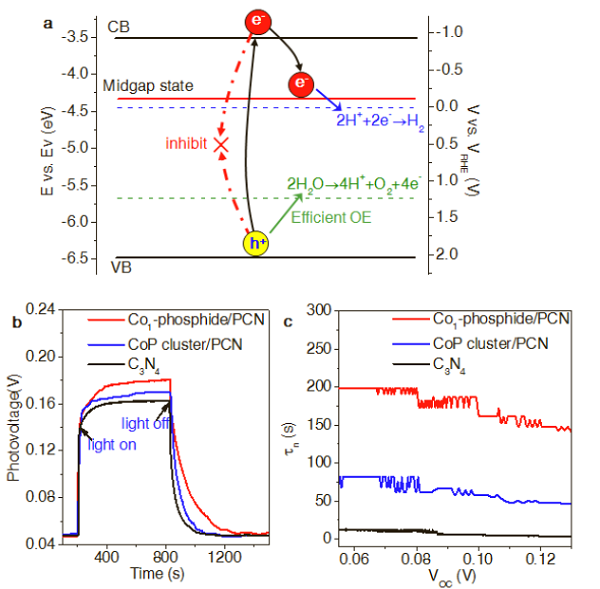
图2 电子带结构图

(a)Co1磷化物/ PCN光催化剂的电子带结构图
(b)Co1-磷化物/ PCN,CoP簇/ PCN和g-C3N4光电阳极的OCVD测量
(c)从(b)中的OCVD获得的光载流子的平均寿命(τn)
【研究内容】
通过太阳光驱动水分解的“人工光合作用”是实现太阳能转化生产清洁可再生氢能的理想方法,同时也是解决未来能源与环境危机的理想途径之一。然而,目前大多数光催化剂在不使用牺牲剂的条件下很难实现太阳光驱动水分解,其效率也远远达不到实际应用的需求。光解水过程包含着复杂的多电子、多步骤反应,对催化剂材料的要求非常高,不仅要有合适的能级结构来吸收足够的可见光,更关键的是要有效地分离和传输光生电子和空穴,同时还具备高效稳定的产氢和产氧活性位点。因此,寻求新型高效、稳定和廉价的光催化剂依然面临着极大挑战。
该研究组提出通过设计构建单活性位点结构来分离光生电子和空穴对,并作为助催化剂实现高效的全解水性能 。利用氮化碳纳米空间限域效应合成原子级分散的结构位点,同步辐射X射线吸收谱学以及高角环形暗场像明确形成了单位点Co1-P4构型,从而获得了单位点钴基负载磷掺氮化碳复合型光催化剂。该复合结构在电子能带结构中形成特殊中间态,不仅极大地提高了材料的可见光吸收,而且有效抑制光生电子-空穴对复合,成功将光生载流子寿命显著提高约20倍。他们所设计的光催化剂实现了在模拟太阳光照、不加牺牲剂和贵金属的条件下全解水产氢速率达410.3 μmol h-1 g-1,其中500 nm波长处量子效率达到2.2%。这种单活性位点复合型光催化剂将为进一步提升现有光催化剂的水分解性能提供新的设计思路和方法,同时也为从原子尺度探究催化活性中心和反应机理提供新的有效途径。
该研究得到了国家重点研发计划、国家自然科学基金和中科院合肥大科学中心基金等项目的资助。
原文链接:http://www.cas.cn/syky/201708/t20170804_4610560.shtml
文献链接:Single-Site Active Cobalt-Based Photocatalyst with a Long Carrier Lifetime for Spontaneous Overall Water Splitting(Angew. Chem. Int. Ed.,2017,DOI: 10.1002/anie.201704358 )
本文由材料人编辑部Allen编辑,点我加入材料人编辑部。
材料测试,数据分析,上测试谷。





