【成果简介】
近日,中国科学院合肥物质科学研究院强磁场科学中心研究员田明亮课题组在强关联电子材料Sr4Ru3O10的平面磁结构研究方面取得新进展,相关研究以题为“In-plane magnetic anisotropy of the Sr4Ru3O10 nanosheet probed by planar Hall effect”发表在Applied Physics Letters上。
【图文导读】
图1 磁场角θH作为测量的场的函数

其中Hc1+(Hc1–)和Hc2+(Hc2–)表示电阻切换的关键场。 HLS:高级状态,MS:中间状态,LLS:低级状态
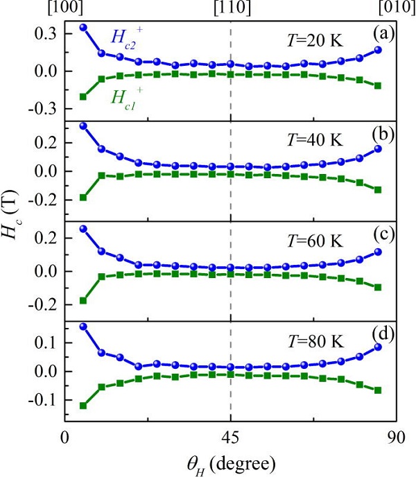
图2 PHE的临界场Hc1+和Hc2+

分别在(a) 20 K, (b) 40 K, (c) 60 K, and (d) 80 K时测得的数据
【研究内容】
钙钛矿钌氧化物Srn+1RunO3n+1 (n=1, 2, ∞)蕴含着丰富的物理现象,包括p波超导电性(Sr2RuO4)和磁场诱导的量子临界现象(Sr3Ru2O7)等,一直引起着凝聚态物理学家的研究兴趣。Sr4Ru3O10是Srn+1RunO3n+1体系中具有代表性的材料,是一种强各向异性铁磁性材料,其铁磁转变温度TC=105 K,磁矩主要沿c方向。以前的工作主要集中在对体材料的各向异性磁行为以及变磁转变特性的研究上,对于纳米尺度下Sr4Ru3O10的磁性质知之甚少。最近,课题组博士生刘艳在副研究员杨继勇的具体指导下,通过机械解离的办法首次将Sr4Ru3O10单晶的厚度推进到纳米尺度,并通过输运测量研究了Sr4Ru3O10纳米薄片的磁阻特性(New J. Phys. 18, 053019(2016), Phys. Rev. B 95, 161103(R)(2017))。实验发现,Sr4Ru3O10纳米薄片在ab-面内存在铁磁序,而这与体材料中ab-面表现为顺磁或反铁磁的结果完全不同。
在此基础上,课题组通过系统的转角平面霍尔效应测量,进一步研究了Sr4Ru3O10纳米薄片中的面内磁各向异性。实验发现,Sr4Ru3O10纳米薄片中的平面霍尔信号与磁场的方向有关,只有当磁场沿着I(或III)象限时,平面霍尔信号才会出现类似于“自旋阀”行为的不连续跳变,而当磁场沿着II(或IV)象限时,则无该跳变信号。出现该现象的原因是,当磁场沿着I(或III)象限时,纳米薄片中的面内磁矩发生的是90°的翻转,而当磁场沿着II(或IV)象限时,则发生的是180°的翻转。这些结果清晰地表明,在Sr4Ru3O10纳米薄片中,其ab-面内不仅具有铁磁序,并且该铁磁序的易磁化方向还沿着[-110]方向。这为理解Sr4Ru3O10中的奇异磁特性提供了新的思路。
本工作所用单晶由科罗拉多大学教授曹钢提供。项目实施过程中得到了国家自然科学基金委、国际创新团队以及合肥大科学中心等的支持。
原文链接:http://paper.sciencenet.cn//htmlpaper/201782938204144568.shtm
文献链接:In-plane magnetic anisotropy of the Sr4Ru3O10 nanosheet probed by planar Hall effect(Applied Physics Letters,2017,DOI:10.1063/1.4993936 )
本文由材料人编辑部Allen编辑,点我加入材料人编辑部。
材料测试,数据分析,上测试谷。





