【背景介绍】
在过去二十年中,聚合物太阳能电池(PSCs)作为下一代可再生能源转换技术已经引起了相当大的关注。PSCs的核心部件是所谓的体异质结(BHJ)活性层,通常由半导体聚合物和富勒烯衍生物分别用作电子给体(空穴转运体)和电子受体(电子转运体)。目前,仅有少数聚合物在活性层厚度超过200nm下提供高效率。因此确定厚膜聚合物太阳能电池中半导体共轭聚合物性能的结构因素是迫切而紧急的。
【成果简介】
近日,来自上海交通大学的刘烽研究员和埃因霍芬理工大学的René A. J. Janssen(共同通讯)等人证明引入交替的供体-受体型共轭聚合物骨架中的噻吩环增强了厚(> 200nm)太阳能电池的填充因子和整体效率。对于从富含电子的苯并[1,2-b:4,5-b’]二噻吩单元和电子缺乏的5,6-二氟苯并[2,1,3]噻唑单元衍生的一系列氟化半导体聚合物,当在供体和受体单元之间引入噻吩环时,发现填充因子和功率转换效率稳定增加。相关成果以题为“Thiophene Rings Improve the Device Performance of Conjugated Polymers in Polymer Solar Cells with Thick Active Layers”发表在了Advanced Energy Materials上。
【图文导读】
图1 紫外可见吸收光谱和通过循环伏安法测定的聚合物的能级

a)聚合物在薄膜中的紫外可见吸收光谱
b)使用功函数值为-5.23eV的Fc/Fc+通过循环伏安法测定的聚合物的能级
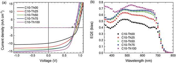
图2 J-V曲线和EQE光谱

a)J-V曲线
b)C10-Thx的EQE光谱
图3 Jsc和Voc的变化及FF和PCE的变化

a)Jsc和Voc的变化
b)对于具有250nm有源层厚度的PSC的C10-Thx聚合物,FF和PCE的变化
图4 时间分辨荧光谱和量子产率

a,b)分别为原始C10-Thx聚合物膜和C10-Thx:[70] PCBM共混膜的时间分辨荧光
c)C10-Thx:[70] PCBM共混膜产生电荷转移状态(ηCT)的量子产率
图5 C10-Thx的电荷传输和重组

a)平均孔移动性
b)平均电子迁移率
图6 纯聚合物和厚(≈250nm)BHJ膜的GIXD

a)衍射图(左:纯聚合物;右:BHJ共混物)
b)纯聚合物切线轮廓。
c)BHJ薄膜线切割轮廓(实线:平面外线切割轮廓;虚线:平面内线切割轮廓)
图7 GIXD拟合分析

a)(100)晶体填充距离和相干长度的GIXD拟合分析
b)纯C10-Thx薄膜的π堆叠晶体填充距离和相干长度
图8 TEM图像

C10- Thx的明场TEM图像:在与a)C10-Th00,b)C10-Th25,c)C10-Th50, d )C10-Th75和e)C10-Th100 太阳能电池制造相同的条件下形成的≈250nm厚度的PCBM共混膜。 图像尺寸:1.5×1.5μm2; 比例尺:0.2μm
图9 基于C10-Thx的厚(≈250nm)BHJ膜的RSoXS

C10-Th00:[70] PCBM共混物在≈0.0035A-1处显示出宽的散射峰,给出182nm的相分离长度尺度
【总结】
本文中观察到的分子结构和填充因子之间的相关性是寻找可以增强载流子迁移率,抑制电荷重组,调整聚合物填充和优化形态以在大的活性层厚度下实现高PCE方法的动力,其反过来又有利于大型加工和多连接的PSCs。
文献链接:Thiophene Rings Improve the Device Performance of Conjugated Polymers in Polymer Solar Cells with Thick Active Layers(Adv. Energy Mater.,2017,DOI:10.1002/aenm.201700519 )
本文由材料人新能源组Allen供稿,材料牛整理编辑。参与新能源话题讨论请加入“材料人新能源材料交流群 422065952”。
材料牛网专注于跟踪材料领域HTH官网地址 及行业进展,这里汇集了各大高校硕博生、一线科研人员以及行业从业者,如果您对于跟踪材料领域HTH官网地址 进展,解读高水平文章或是评述行业有兴趣,点我加入编辑部大家庭。
欢迎大家到材料人宣传HTH官网地址 成果并对文献进行深入解读,投稿邮箱tougao@cailiaoren.com。
投稿以及内容合作可加编辑微信:xiaofire-18,吴玫,我们会拉各位老师加入专家群。





