【引言】
反铁磁性,即材料内相邻自旋指向相反方向的状态,可以在层间异质结设计实现,并可对其性质进行调控。随着探针和反铁磁性磁性态研究的发展,利用其原子尺度的自旋极化电子隧穿和电流诱导的自旋传输矩特性,基于反铁磁性的电子存储设备的理念得到证实,并在磁性设备上得以广泛应用。而要在氧化物异质结中实现反铁磁性则十分困难,因为在纳米厚度下部分磁性层的铁磁性会显著的衰减。
【成果简介】
中国科学技术大学吴文彬教授(通讯作者),第一作者陈斌斌博士与团队成员克服了氧化物反铁磁性设计的难题,最新报道了将超薄但具铁磁性的La2/3Ca1/3MnO3层与绝缘的CaRu1/2Ti1/2O3垫片结合实现反铁磁性层间交换耦合(AF-IEC)。这种层状磁开关结构导致阶梯状的磁滞回线,磁化平台则取决于这种双层结构的堆垛重复数。同时这种磁化结构能在好几百个奥斯特的磁场下有效调制转换。另外,用La2/3Sr1/3MnO3作为磁性层构成的AF-IEC具有近于室温的居里温度。该研究将为具有氧化物界面的电子设备增加研究基础。该研究成果以“All-oxide–based synthetic antiferromagnets exhibiting layer-resolved magnetization reversal”为题刊登在2017年7月14日出版的Science上。
【图文导读】
图一、AF-IEC的LCMO/CRTO多层结构

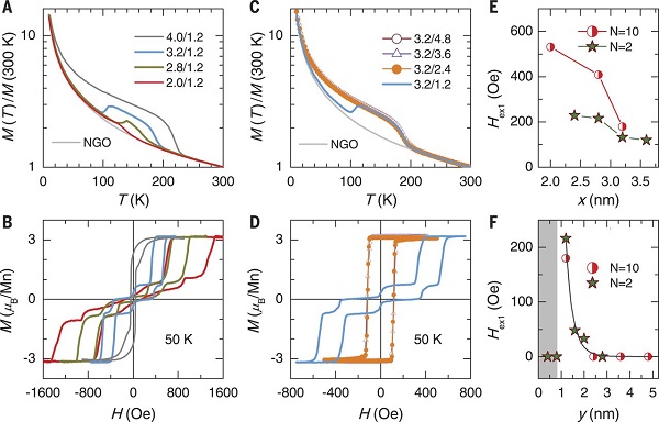
图二、夹层交换耦合(IEC)随层厚度的变化

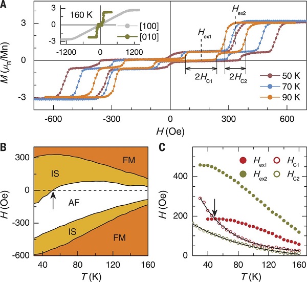
图三、在LCMO/CRTO SL中受温度影响的磁性反转

图四、AF-IEC体系基于CRTO垫片的变化

文献链接:All-oxide–based synthetic antiferromagnets exhibiting layer-resolved magnetization reversal(Science,2017,DOI: 10.1126/science.aak9717)
本文由材料人学术组大黑天供稿,材料牛编辑整理。
材料牛网专注于跟踪材料领域HTH官网地址 及行业进展,如果您对于跟踪材料领域HTH官网地址 进展,解读高水平文章或是评述行业有兴趣,点我加入编辑部。欢迎大家到材料人宣传HTH官网地址 成果并对文献进行深入解读,投稿邮箱tougao@cailiaoren.com。





