【引 言】
随着电动汽车的大量推广,锂离子电池对能量密度的要求越来越高。最新的电极材料已经具备较高的电容量,但是,在充放电循环过程中会出现相分离和体积膨胀,从而导致电极和集流体的接触不良,甚至出现活性物质从基体的脱落,影响电池性能。因此,需要一个更好的结合设计以维持电极的完整性,缓解电池充放电容量的衰退。
【成果简介】
近日,中国科学院上海硅酸盐研究所的李驰麟(通讯作者)等人提出了一种超常转换负极的模型,模型由被薄碳层共形封装、数百纳米尺寸的气泡型特殊固态MoS2组成。这种MoS2-C混合物通过多金属氧酸盐(POM)基螯合物的同时自硫化和自碳化获得。即使是超薄2D纳米片,MoS2-C的储锂性能也优于一般MoS2基的正极。在0.5~1A/g电流密度下,经700次循环后,MoS2-C的可逆电容量依然高达1500~2000mAh/g,在电流密度为10~20A/g时,其也能维持在1000 mAh/g左右。相关成果以“Supernormal Conversion Anode Consisting of High-Density MoS2 Bubbles Wrapped in Thin Carbon Network by Self-Sulfuration of Polyoxometalate Complex”为题,发表在2017年6月29日的ACS Nano期刊上。
【图文导读】
图1. MoS2-C复合材料的合成程序示意图及相应溶液和粉末的照片

1). 橘色溶液是DTO,白色溶液是L-半胱氨酸,黄色溶液是POM;
2). 黑色粉末是POM-DTO螯合物,深蓝色粉末是POM-L半胱氨酸螯合物;
3). 合成过程包括螯合作用与高温分解。获得D-MoS2和L-MoS2两种材料;
4). MoS2-C复合材料形态为气泡型MoS2固体被薄碳层包覆,与以叶状颗粒为主的POM基复合体不同。
图2. D-MoS2和L-MoS2的XRD图样及XPS分析

1). 图a:D-MoS2和L- MoS2的XRD图样。D-MoS2的(002)峰值较L- MoS2明显,表明前者具备S-Mo-S的有序堆叠;
2). 图 b、c、d、e、f分别是D-MoS2及L- MoS2中Mo 3d、S 2p、C 1s、N 1s、P 2p的X射线光电子能谱。D-MoS2的Mo 3d、S 2p峰值低于L- MoS2相应峰值,表明前者有较厚碳包覆层。D-MoS2的N 1s峰值较L- MoS2高,表明前者具有高氮掺杂量。
图3. D-MoS2与L- MoS2的SEM、TEM图像及D-MoS2的STEM图像

1). 图a、b分别为D-MoS2的整体的SEM图像和放大SEM图像;图c、d分别为L-MoS2的整体的SEM图像和放大SEM图像;
2). 图e、f分别为D-MoS2的TEM图像和HRTEM图像;图g、h分别为L-MoS2的TEM图像和HRTEM图像;
3). 图i是D-MoS2试样经扫描透射电子显微镜获得的元素mapping图。
图4. D-MoS2与L- MoS2在锂离子电池中的性能比较

1). 图a:电流密度0.5A/g,电压0.01~3V时充放电容量及库伦效率比较;
2). 图b:电流密度从0.5A/g增至20A/g,储锂倍率性能比较;
3). 图c:电流密度为1A/g时,D-MoS2与D-C的长期循环性能比较;
4). 图d:电流密度为5A/g时,L-MoS2与L-C的长期循环性能比较。
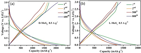
图5. D-MoS2与L-MoS2的恒流充放电曲线

1). 图a、b:D-MoS2与L-MoS2分别作为锂电池负极,在电压为0.01~3V、电流密度为0.5A/g时,不同循环次数的恒定电流充放电曲线。
图6. D-MoS2与L-MoS2的交流阻抗谱

1). 图a、b:在5A/g的电流密度下,Li/D-MoS2电池和Li/L-MoS2电池分别循环1/500/1000次后的电化学交流阻抗谱;
2). 图C:对应阻抗谱拟合的等效电路。
图7. D-MoS2与L- MoS2在钠离子电池中的性能比较

1). 图a:D-MoS2作为钠离子电池负极,在电压为0.01~3V、电流密度0.1A/g时,不同循环阶段的恒定电流充放电曲线;
2). 图b:D-MoS2在钠离子电池中,充放电容量及库伦效率与循环次数的关系;
3). 图c:D-MoS2与L-MoS2的储钠倍率性能比较。
【小 结】
这项工作中,科研人员将几百纳米大小的气泡型MoS2晶粒用薄碳层共形包覆,获得MoS2-C复合材料,材料的结构形态是通过螯合物DTO-POM(或POM- L半胱氨酸)的同时自硫化及自碳化形成。碳包覆层和周围更宽的氮磷掺杂碳基质无缝连接,有效避免了活性物质的剥落与导电网络的断裂。D-MoS2具有较好的储锂能力,其在0.5A/g的电流密度下,经600次循环后,容量仍接近2000 mAh/g,在电流密度为10~20A/g时,其容量依然高达1000mAh/g。
(ACS Nano,2017;DOI:10.1021/acsnano.7b03665)
本文由材料人编辑部新人组谢元林编译,黄超审核。点我加入材料人编辑部。
材料测试,数据分析,上测试谷。





