【引言】
随着社会的高速发展和人口的急剧膨胀,人们对能源的需求也随之增长。寻求高效、清洁的可再生能源是全世界各国的共同目标。量子点敏化太阳能电池(QDSCs),是被广泛认为具有广阔应用前景的新型太阳能电池之一。其中,胶质量子点由于其可调带隙,较大偶极矩,稳定的溶液加工工艺和宽光谱范围内的高消光系数,可以有效提高敏化太阳能电池的光转化效率。但是,由于在金属氧化物/量子点/电解液界面处及量子点内部发生的载流子复合,严重影响了其光转换效率。进一步优化材料结构,提升量子点敏化太阳能电池光电转换效率仍是科研人员面临的巨大挑战。
【成果简介】
近日,电子HTH官网地址 大学基础与前沿研究院Federico Rosei教授,王志明教授和加拿大魁北克省立科学研究院赵海光博士(共同通讯作者)合作,制备出了CdSe/(CdS)x核壳结构量子点(QDs)。通过连续离子层吸附反应法调节量子点壳层厚度,优化其光电性能。在模拟一个太阳照度AM 1.5G(100 mW cm-2)下,CdSe/(CdS)6量子点具有高光电转换效率(3.01%),大电流密度(9.30 mA cm-2),高开路电压(0.539 V)和较大填充因子(60%)。为进一步提高该材料的光伏性能,合作团队合成制备出了CdSe/(CdSexS1−x)4/(CdS)2 (x = 0.5) 和CdSe/(CdSexS1−x)5/(CdS)1 (x = 0.1–0.9) 核壳结构量子点。测试结果表明,其光电转换效率分别高达5.12%和6.86%。该成果以“Highly Stable Colloidal “Giant” Quantum Dots Sensitized Solar Cells”为题于2017年6月26日发表在期刊Advanced Functional Materials上。
【图文导读】
图一:QDSCs工作原理图及CdSe/(CdS)x (x = 0, 2, 6, 13) 核壳结构QDs电子能带工程示意图

CdSe/(CdS)x (x = 0, 2, 6, 13) 核壳结构QDs电子能带工程:CdSe核(红色)与不断增加的厚度的CdS壳层(黄色)含有或不含界面合金层CdSexS1−x (x = 0.5)。R为核的半径, H为壳层厚度。
图二:材料的结构表征和光谱分析

(a)在CdS连续离子层吸附反应循环前的TEM图像;
(b)6次CdS连续离子层吸附反应循环后的TEM图像;
(c)13次CdS连续离子层吸附反应循环后的TEM图像;
(d)4次CdSexS1-x(x = 0.5)和2次 CdS连续离子层吸附反应循环后的TEM图像;
(e)d图的HRTEM图像;
(f)CdSe/(CdS)6 QDs 敏化的TiO2薄膜HRTEM图像;
(g)不同次数CdS 和CdSexS1-x连续离子层吸附反应循环前后CdSe QDs尺寸分布图像;
(h)不同次数CdS连续离子层吸附反应循环前后CdSe QDs在甲苯中的紫外-可见吸收光谱图;
(i)对应的QDs在甲苯中的荧光光谱图。
图三:不同壳层厚度对材料光伏性能的影响

(a)在一个太阳照度下,CdSe/(CdS)x 核壳结构量子点敏化电池的J-V曲线,显示壳厚度对光伏性能的影响;
(b)开路电压衰变与时间的函数图像;
(c)电子寿命(τ )与开路电压的的函数图像;
(d)复合电阻Rrec与偏压Vbias的函数图像;
(e)化学电容Cμ与偏压Vbias的函数图像;
(f)电子寿命(τ )与偏压Vbias的函数图像。
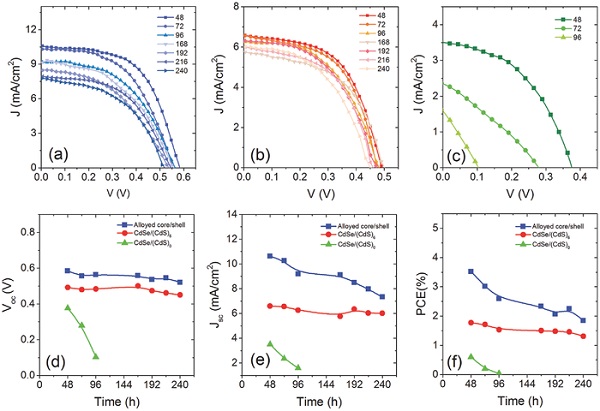
图四:稳定性及可重复性性能研究

基于“巨型”合金核/壳量子点,CdSe /(CdS)6核/壳量子点和裸露的CdSe量子点的QDSC的功能性能稳定性超过240小时。
(a)具有CdSexS1-x界面层的合金核/壳QD在不同时间下J-V曲线;
(b)CdSe/(CdS)6核壳结构在不同时间下的J-V曲线;
(c)裸露的CdSe核壳结构量子点在不同时间下的J-V曲线;
(d)对应的QDSCs 时间与开路电压函数曲线;
(e)对应的QDSCs 时间与电流密度函数曲线;
(f)对应的QDSCs 时间与光电转换效率函数曲线。
【小结】
这项工作通过连续离子层吸附反应法成功制备了壳层厚度可调的核壳结构量子点,该材料应用于QDSCs,表现出了优异的光伏性能。通过调节壳层厚度,可以有效增强量子点的光学物化性能,同时可以有效地将吸光光谱向可见光区域拓展。值得注意的是,稳定性是QDSCs能否商业化的决定因素之一,而该方法为制备高效,低价,稳定的QDSCs提供了新的思路。
文献链接:Highly Stable Colloidal “Giant” Quantum Dots Sensitized Solar Cells (Adv. Funct. Mater., 2017, DOI: 10.1002/adfm.201701468)
本文由材料人编辑部郭静编译,黄超审核,点我加入材料人编辑部。
材料测试,数据分析,上测试谷!





