【引言】
形状记忆聚合物(SMPs)是一种新型智能材料,它具有响应外界刺激(例如光、热、电等等)的特性,因此能被应用到传感器、生物医学设备等很多领域。目前,热响应形状记忆聚合物(TSMPs)已经具备了可设计、可塑形的特点,因此研究人员对其进行了大量的研究。
通常TSMP由交联点和分子开关组成,前者决定其固定形状,后者决定其形状复原性能。一般情况下,单向形状记忆效应(1W-SME)的形成的步骤为:1)在外力存在的条件下,加热TSMP至高于相变温度(Ttrans)的高温Thigh使其融化;2)将TSMP冷却至低于Ttrans的温度Tlow,移除外力,形成暂时的稳定形状;3)重新加热TSMP至高温Thigh,使其形状复原。但是1W-SME不具备连续循环的特点,所以这限制了TSMP在遥控系统、屏蔽设备等领域的应用。最近,研究人员开发了一系列液晶弹性体和半晶质聚合物,它们具有双向形状记忆效应(2W-SME)特点。相比于1W-SME SMPs,2W-SME SMPs可以连续循环使用,能很好的应用于传感器、驱动器、人造肌肉等领域。目前,此类2W-SME SMPs主要包括PCO、EVA、PCL、PPD、PBA以及POA等等。
四川大学的杨科珂教授等人,基于聚(D,L-丙交酯)(PDLLA)和聚四亚甲基醚二醇(PTMEG),制备了一种具备三相形状记忆效应的光致交联聚合物。在典型的1W-SME循环中,当被冷却至其结晶温度(Tc)以下时,PTMEG具有显著的结晶诱导伸长(CIE)的特点,这种现象只发生在低PDLLA含量(20%)的聚合物中。但是,这种聚合物的2W-SME还需要进一步研究。
【成果简介】
近日,四川大学杨科珂教授(通讯作者)的团队对这种聚四亚甲基醚二醇基交联网络聚合物进行了进一步研究。他们首先制备了线性含悬空蒽组PDLLA-PTMEG共聚物(AN-PDLLA-PTMEG),使PDLLA的含量为20%,保证样品与前期工作样品一致;通过控制光照射的时间,构建了一系列具有不同光致交联度的PDLLA-PTMEG共聚物,其中,PTMEG为分子开关,蒽组中的光致交联为交联点。通过PTMEG的结晶诱导伸长(CIE)和融化诱导收缩(MIC)表征了共聚物的2W-SME,结果发现,与光致交联点一样,含量较低的PDLLA也是开关交联点,而且这种关联点还可以通过高温(Thigh)进行控制。通过差示扫描量热法(DSC)分析发现,所有的光致交联网络聚合物具有较好的结晶度。动态力学分析(DMA)发现,当温度达到Tg,PTMEG和Tg,PDLLA时,储能模量(E’)显著降低,因此45℃和70℃为两个特殊的ThighS。相关成果以“Creating Poly(tetramethylene oxide) Glycol-Based Networks with Tunable Two-Way Shape Memory Effects via Temperature-Switched Netpoints”为题,发表在6月19日的Macromolecules期刊上。
【图文导读】
图1 通过悬空蒽组的光致交联制备NW-PDLLA-PTMEG网状聚合物

(a)PDLLA、PTMEG和BHEAA的化学结构;
(b)AN-PDLLA20-PTMEG的简化结构;
(c)365nm UV光照射下,通过悬空蒽组的光致交联制备的交联聚合物;
(d)悬空蒽组的光致交联反应;
(e)通过1H NMR,PDLLA的分子量Mn为6300g mol-1(光谱图未给出,但是标示了两个特殊位置,分别为PDLLA化学结构中的h和g)。
图2 AN-PDLLA20-PTMEG的1H NMR图

通过1H NMR图,表征了AN-PDLLA20-PTMEG的分子结构。
图3 光致交联NW-PDLLA20-PTMEG聚合物的膨胀测试

(a)NW-PDLLA20-PTMEG/1、NW-PDLLA20-PTMEG/2和NW-PDLLA20-PTMEG/4分别表示光照时间0.5h、1h和2h的NW-PDLLA20-PTMEG聚合物;
(b)Sd为膨胀率,G为凝胶分数,ν为交联密度;
(c)光照时间越长,Sd越小,G越大,ν越大。
图4 DSC曲线图(线性共聚物以及其相应具有不同光致交联度的NW-PDLLA20-PTMEG)

(a)冷却扫描,线性共聚物的结晶温度Tc=-32.2℃,对于光致交联共聚物,随着光照时间增加,Tc在-29.7℃至-29.0℃范围内逐渐增大;
(b)加热扫描,线性共聚物的融化温度Tm=24.5℃,对于光致交联共聚物,随着光照时间增加,在24.2至23.4范围内逐渐减小;
(c)冷却和加热速率分别为5℃/min。
图5 DSC数据(光致交联NW-PDLLA20-PTMEG聚合物)

(a)线性共聚物的ΔHc=21.4J/g,对于光致交联共聚物,随着光照时间增加,ΔHc在21.4J/g至19.0J/g的范围内稍微减小;
(b)线性共聚物的ΔHm=36.8J/g,对于光致交联共聚物,随着光照时间增加,ΔHc在34.0J/g至29.9J/g的范围内逐渐减小;
图6 存储模量曲线

(a)线性共聚物AN-PDLLA20-PTMEG及其相应具有不同光致交联度的NW-PDLLA20-PTMEG聚合物;
(b)随着温度的增加,存储模量(E’)逐渐减小;
(c)当曲线穿过热力学转变温度时,存储模量(E’)变化显著;
(d)I、 II,和III区域分别表示PTMEG的玻璃转化温度(Tg,PTMEG)区间、Tm,PTMEG区间和Tg,PDLLA区间。
图7 DMA记录的不同温度Thigh下,NW-PDLLA20-PTMEG/4聚合物的1W-SME曲线

(a)ThighS=45℃,4次循环,低温Tlow=-35℃,低于PTMEG的Tc,形成结晶,应变比例60.8±0.9%;
(b)ThighS=70℃,4次循环,低温Tlow=-35℃,低于PTMEG的Tc,形成结晶,应变比例147±6.4%。
图8 不同ThighS(2-4次循环),NW-PDLLA20-PTMEG/4聚合物的1W-SME数据

(a)Rf为形状固定比例,Rr为形状复原比例;
(b)图中数据表明聚合物具有较好的结晶诱导伸长(CIE)特性,结合DSC的分析,表明聚合物具有良好的2W-SME。
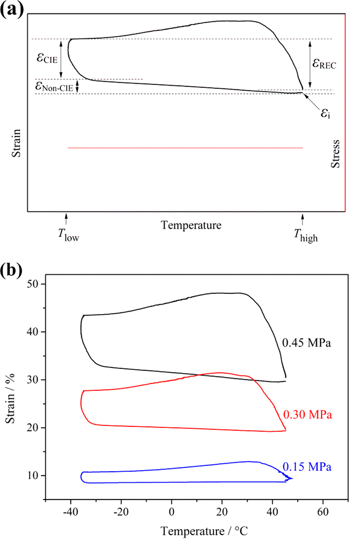
图9 双向形状记忆特性图

(a)εCIE表示由CIE引起驱动应变,εCIE下面的一小部分驱动应变,记为εNon-CIE,εREC表示恢复应变,εi表示高温时的原始应变,也就是冷却前每一次循环开始时的应变;
(b)压力分别为0.15 MPa、0.30 MPa和0.45 MPa,且ThighS=45℃时,四次循环的应力曲线。
图10 不同压力下(2-4次循环,Thigh=45℃),NW-PDLLA20-PTMEG/4聚合物的2W-SME数据

(a)Ract-A(σ)表示不同压力下,驱动应变对基准应变线的相对值;
(b)Ract-R(σ)表示不同初始应变条件下,驱动应变对基准应变线的相对值;
(c)Rrec(σ)表示应变恢复程度。
图11 Thigh=45℃和Thigh=70℃时,NW-PDLLA20-PTMEG/4聚合物的2W-SME应变曲线图

相比于45℃的条件,70℃时的εCIE、εNon-CIE和εi均要大很多,而Rrec(σ)要小很多。
图12 Thigh=45℃和Thigh=70℃时(2-4次循环,压力0.3MPa),不同光致交联度NW-PDLLA20-PTMEG/4聚合物的2W-SME数据

图13 Thigh=45℃和Thigh=70℃时,温控开关机理示意图

从图中可以看出,45℃时,PDLLA成为光致交联点。
图14 应力-时间曲线图(不同光致交联度NW-PDLLA20-PTMEG聚合物的2W-SME特性)

(a)Thigh=45℃,三种光致交联聚合物的应力-时间曲线图没有太大的区别;
(b)Thigh=70℃,光致交联度越高,εi越小,同时,εNon-CIE和εCIE逐渐减小,而且,Rrec(σ)逐渐增大。
【小结】
1、通过光致交联的PTMEG基共聚物,制备了一系列NW-PDLLA-PTMEG共聚物,制备的共聚物PDLLA含量低(20%),且含有光敏性的蒽组,同时通过控制光照时间,调整了聚合物的光致交联度;
2、利用PTMEG的CIE和MIC,在不同压力和以高温Thigh控制的PDLLA为温控开关的条件下,表征了聚合物的2W-SME特性,DSC表明光致交联聚合物有良好的结晶度,DMA表明当温度为Tm,PTMGE和Tg,PDLLA时,存储模量显著下降,因此温度可选择为45℃和70℃作为两个特殊的ThighS温度;
3、通过1W-SME循环测试,表明聚合物符合2W-SME测试要求,2W-SME的系统的评估表明,压力、Thigh和光致交联度对2W-SME系能影响较大。
文献链接:Creating Poly(tetramethylene oxide) Glycol-Based Networks with Tunable Two-Way Shape Memory Effects via Temperature-Switched Netpoints(Macromolecules, 2017, DOI: 10.1021/acs.macromol.6b02773)
本文由材料人编辑部高分子小组熊文杰提供,材料牛编辑整理。
材料牛网专注于跟踪材料领域HTH官网地址 及行业进展,这里汇集了各大高校硕博生、一线科研人员以及行业从业者,如果您对于跟踪材料领域HTH官网地址 进展,解读高水平文章或是评述行业有兴趣,点我加入材料人编辑部。参与高分子话题讨论或了解高分子组招募详情,请加高分子交流群(298064863)。
材料测试、数据分析,上测试谷!

做一个爱分享的科研人,请关注大分子公众号!





