【引言】
石墨烯的出现,随之而来的二维材料家族不断扩大,它们都展现出很好的电学性质。为了扩宽它的性能,还可以添加一些具有自旋-谷耦合的半导体、可以转变为量子金属的Ising超导体、具电荷密度波可调的Mott绝缘体和可以边缘传输的拓扑半导体等附加物。然而,目前还没有发现具有本征磁性的二维晶体(除了同期刊登的张翔院士研究成果),这种晶体在传感和数据存储方面有着很大的应用前景。理论上,在二维各向同性、特定温度满足Mermin-Wagner定理的Heisenberg模型中,磁性有序是受到限制的。磁各向异性消除了这些限制,使得二维Ising铁磁性能够实现。
【成果简介】
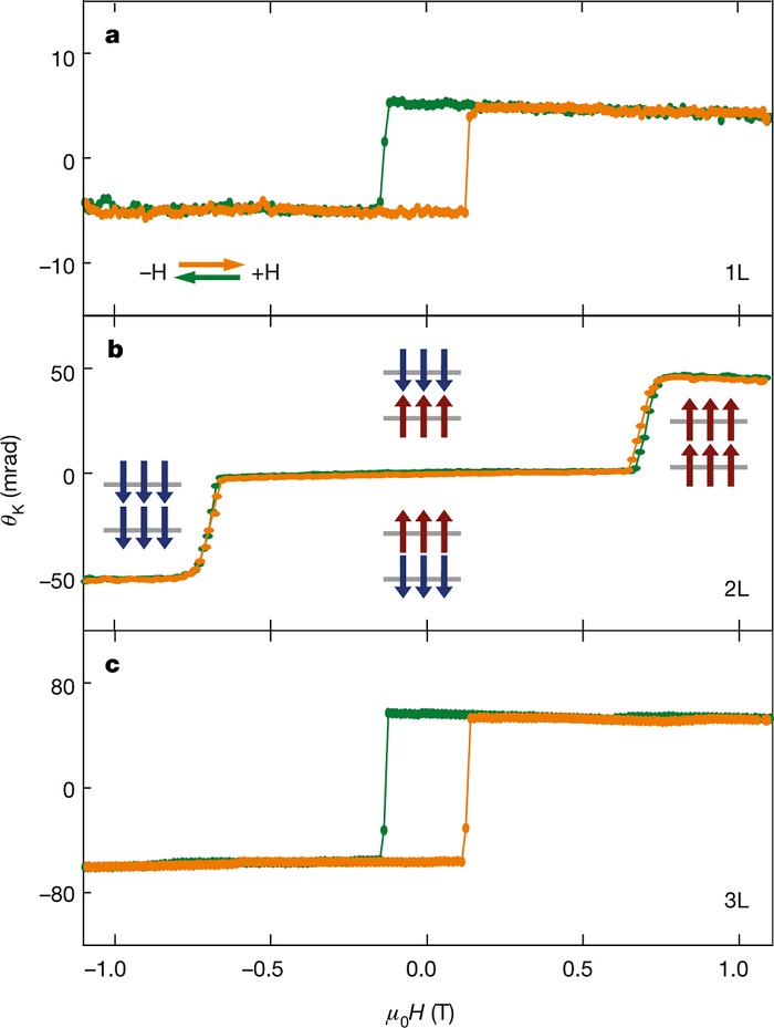
华盛顿大学西雅图分校的许晓栋和麻省理工学院的Pablo Jarillo-Herrero(共同通讯作者)等人利用磁域观测显微镜证实了单层CrI3二维材料为Ising铁磁体,具有面外的自旋取向。居里温度为45K,仅些微的低于块体材料(61K),这与弱的夹层耦合相对应。并且,研究发现受层数影响的磁性相,表明在分子晶体中受厚度影响的物理性质。双层CrI3具有变磁性效应,展现出受抑制的磁性,而三层CrI3中夹层的铁磁性则被修复。这项研究为揭示材料中不同寻常的原子级特性进而研究材料的磁性,如电调控的磁电子学、范德华力引起的界面效应等都提供了研究基础。以上研究成果以“Layer-dependent ferromagnetism in a van der Waals crystal down to the monolayer limit“为题与张翔院士以”Discovery of intrinsic ferromagnetism in two-dimensional van der Waals crystals“为题的研究成果(材料牛资讯详戳 张翔院士Nature重磅: 二维分子晶体本征铁磁性的发现!)一起背靠背刊登在2017年6月8日出版的Nature上。同期,宾夕法尼亚大学的Nitin Samarth教授为该成果撰写了题为“Condensed-matter physics: Magnetism in flatland”的新闻评述(Nature,2017,DOI:10.1038/546216a)。
【图文导读】
图一、块体CrI3的晶体结构、层厚度鉴别和磁光Kerr效应(MOKE)

图二、单层CrI3的MOKE检测

图三、原子级厚CrI3受层数影响的磁有序性

文献链接:Layer-dependent ferromagnetism in a van der Waals crystal down to the monolayer limit(Nature,2017,DOI:10.1038/nature22391)
本文由材料人学术组大黑天供稿,材料牛编辑整理。
材料牛网专注于跟踪材料领域HTH官网地址 及行业进展,如果您对于跟踪材料领域HTH官网地址 进展,解读高水平文章或是评述行业有兴趣,点我加入编辑部。欢迎大家到材料人宣传HTH官网地址 成果并对文献进行深入解读,投稿邮箱tougao@cailiaoren.com。
投稿以及内容合作可加编辑微信:xiaofire-18,吴玫,我们会拉各位老师加入专家群。





