当前位置: 材料牛 » HTH官网地址 » 导读 » Adv. Energy Mater.:利用能带设计提高α-MgAgSb热电性能

Adv. Energy Mater.:利用能带设计提高α-MgAgSb热电性能

【引言】

在室温附近(300-500K),具有优良热电性能的传统碲化铋合金仍具有不可替代的地位。但是碲元素极其稀缺,地壳储量仅为金元素的四分之一,甚至低于白金,难以大规模商业化应用。近来α-MgAgSb热电材料异军突起,其组成元素储量丰富,Ni掺杂的α-MgAgSb基热电材料ZT在525K可达1.4,能量转换率比目前商用的Bi2Te3还高,可达8.5%,作为新一代近室温热电材料成为研究热点。

【成果简介】

最近,中科院宁波材料所的刘国强研究员和蒋俊研究员(共同通讯作者)等人于Advanced Energy Materials上发表了文章“Improving Thermoelectric Performance of α-MgAgSb by Theoretical Band Engineering Design”,文章基于电子/声子结构和传输计算系统研究了α-MgAgSb的热电性能,通过对费米面的分析计算,提出了一种能带设计方法,并利用该方法成功预测了几种有效掺杂。该研究不仅证明了α-MgAgSb是一种很有发展潜力的P型热电材料,同时也为能带设计提供了一种可行的方法。

【图文导读】

1. 能带结构

a) 用PBE和mBJ函数计算α-MgAgSb能带结构

b) 布里渊区电子袋

c) 布里渊区空穴袋

2. 价带组成

a) α-MgAgSb总态密度和原子投影态密度

b) 价带顶的红色圆圈的大小表示Mg-s轨道的特征权重

c) 价带顶的绿色圆圈的大小表示Ag-d 轨道的特征权重

3. Zn-掺杂和Pd掺杂α-MgAgSb能带结构和费米面

a) Zn掺杂α-MgAgSb能带结构和费米面

b) Pd掺杂α-MgAgSb能带结构和费米面

价带顶的红色圆圈和绿色圆圈的大小分别表示Zn-s 和 Pd-d轨道特征权重

4. 声子传输特性

a) 声子色散关系

b) α-MgAgSb晶格热导率与温度关系图

渐变色和圆圈大小表示相应声子束的群速度

5. 电子传输特性

a) α-MgAgSb室温下塞贝克系数S与载流子浓度的关系图,虚线为m* = 2.0 m0的Pisarenko图

b) 不同载流子浓度和掺杂剂的α-MgAgSb的载流子弛豫时间

6. ZT预测

a) 功率因子S2σ预测图

b) α-MgAgSb的ZT预测值与温度T载流子浓度n关系图

图中标注数字为实验值

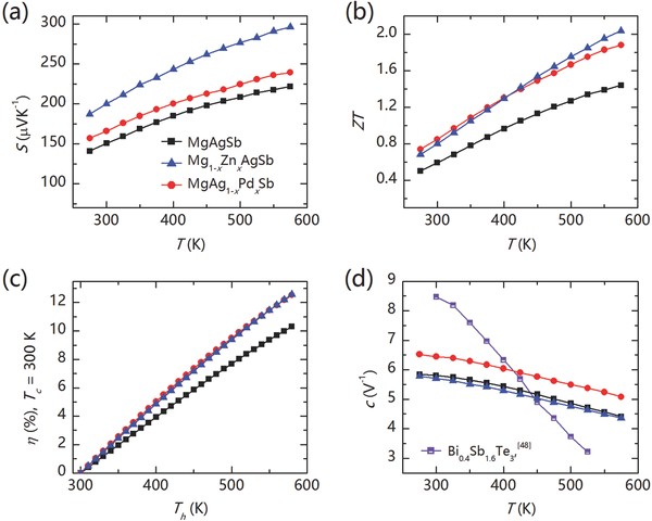
7. 热电性能的提高

a) 载流子浓度为2 × 1020 cm−3时的塞贝克系数

b) Zn掺杂、Pd掺杂和未掺杂α-MgAgSb的最优ZT值

c) Tc = 300 K时Zn掺杂、Pd掺杂和未掺杂α-MgAgSb的单臂转化效率η

d) Zn掺杂、Pd掺杂和未掺杂α-MgAgSb的热电自兼容因子,纳米结构的Bi4Sb1.6Te3也在图中出现作为对比

【小结】

研究者通过对电子/声子结构和运输计算系统地研究了α-MgAgSb的热电性能,利用能带结构计算重现了α-MgAgSb的半导体特性,计算得到的带隙与实验测量结果一致,同时也证明了可以通过调整Mg-s或Ag-d轨道来进行能带工程。

文献链接:Improving Thermoelectric Performance of α-MgAgSb by Theoretical Band Engineering Design(Adv. Energy Mater., 2017, DOI: 10.1002/aenm.201700076)

本文由材料人编辑部电子电工学术组zzzlx整理编译。

材料牛网专注于跟踪材料领域HTH官网地址 及行业进展,如果您对于跟踪材料领域HTH官网地址 进展,解读高水平文章或是评述行业有兴趣,点我加入编辑部。如果你对电子材料感兴趣,愿意与电子电工领域人才交流,请加入材料人电子电工材料学习小组(QQ群:482842474)。欢迎大家到材料人宣传HTH官网地址 成果并对文献进行深入解读,投稿邮箱tougao@cailiaoren.com。

材料测试,数据分析,上测试谷

未经允许不得转载:材料牛 » Adv. Energy Mater.:利用能带设计提高α-MgAgSb热电性能

相关文章

Baidu
map