【成果简介】
近日,中国科学院重庆绿色智能技术研究院量子信息技术研究中心与北京计算科学研究中心合作在自旋量子相干调控研究方面取得进展,相关研究成果以“Robust quantum state transfer inspired by Dzyaloshinskii-Moriya interactions”为题在期刊Physical Review A上发表。
【图文导读】
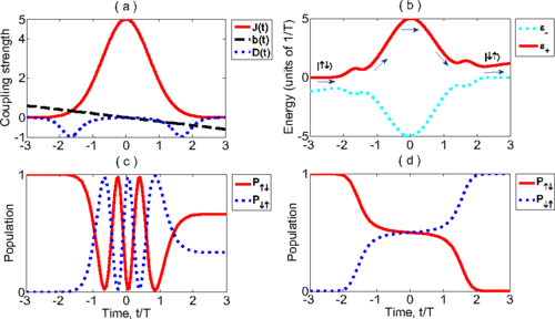
图1 自旋量子态调控保真度对比图

(a)自旋相互作用
(b)量子系统演化路径
(c)只考虑交换相互作用,调控保真度变化
(d)交换相互作用和Dzyaloshinskii-Moriya相互作用协同作用下保真度变化
图2 双离子系统和三自旋系统对比图

(a)双离子系统的衰减速率不同的效率
(b)三自旋系统的效率
[研究内容】
量子自旋是实现量子信息处理的重要物理体系,自旋的本征特性使其成为构建量子比特的最佳候选者。由于自旋系统具有退相干时间长、可扩展性强等优势,其在实现量子信息处理方面表现出许多优越性。但是由于受外部环境因素制约,如何有效调控自旋量子态是目前急需解决的难题。一般而言,多个自旋量子态相干调控可通过自旋交换作用来实现,也就是π脉冲技术,该技术的缺点是需要精确控制交换相互作用,来自环境的微弱扰动,将严重破坏量子相干调控的保真度。基于该项技术,Dzyaloshinskii-Moriya相互作用(产生于自旋轨道相互作用)被认为是不利于量子相干调控的因素。然而,量子信息中心的助理研究员石轩和研究员赵洪泉在研究中发现,当Dzyaloshinskii-Moriya相互作用满足一定条件时,不仅不会破坏自旋量子态的相干调控,还能大大提高量子相干调控的保真度。
该研究工作将改善量子信息处理中量子逻辑门的有效操作,减少操作过程中产生的误差,并且提高量子逻辑门的抗噪能力。
原文链接:http://www.cas.cn/syky/201706/t20170601_4603580.shtml.
文献链接: Robust quantum state transfer inspired by Dzyaloshinskii-Moriya interactions(Physical Review A,2017,DOI:10.1103/PhysRevA.95.052332)
本文由材料人编辑部Allen编辑,点我加入材料人编辑部。
材料测试,数据分析,上测试谷。





