背景前言
与传统的锂离子电池相比,锂硫电池的比能量是其6倍之多,因其高比能量,它越来越受到关注,但在研究过程中有三个问题亟待解决:1、中间体锂多硫化物在电解液中的溶解,2、锂化硫体积膨胀大,3、锂硫化物上沉积物的不可控性。
为解解决上述问题,科研工作者作出了巨大的努力来构建优异的阴极材料,比如封装硫以此来防止活性物质泄漏,也抑制高度有序的锂硫化物出现穿梭效应。其次,调控在放电阶段沉积产物Li2S。另外,使用Li2S作为开始阴极材料,它经受体积收缩从而替代硫的体积膨胀,这样安全性高。另外以Li2S作为基体阴极材料,可抑制枝晶的生长,对锂金属阳极材料的配对,从安全角度出发,也有很广范围的选择。
以往,提高锂硫电池的电化学性能,主要通过对Li2Sx物质的捕获或转变为固态Li2S2和Li2S,这样锂硫电池的循环性将大幅提升。也可使用导电材料使Li2Sx在该种材料的极化表面发生电化学反应,生成更强的化学键,还能控制Li2S的沉积。但捕获Li2Sx使用的绝缘材料,无法传导电子,造成电子积累,降低了容量保持率。
鉴于以上的解决方案所出现的不足,Xinyong Tao团队注意到表面硫物质的扩散和吸附的竞争作用在锂硫电池的电子传输中起着很重要作用。该团队研究了不同的非导体金属氧化物纳米颗粒修饰碳薄片材料,表明有更高的比容量,更优的循环稳定性。通过DFT计算揭示出更好的表面扩散导致硫化物质有更高的沉积效率,完全满足高表面、高结合、高面扩散的标准。
吸附与扩散机理
图1(a)金属氧化物对Li2Sx物质弱吸附容量,(b)金属氧化物对Li2Sx物质强吸附和高扩散,(c)金属氧化物对Li2Sx物质强结合但扩散性差。
图1表示三种吸附-扩散在改性非导体氧化物在碳基体上的作用效果,从图中看出电子无法直接在氧化物和硫化物之间传输,这是因为金属氧化物的弱传导性。被吸附的Li2Sx应通过金属氧化物的表面传输到基体碳导体上,从三幅图中显示出表面吸附与扩散有竞争关系,如图(a)所示,当金属氧化物有弱的Li2Sx捕获容量时,因穿梭效应和不可调控沉积发生,Li2Sx可以从碳基体扩散出去,相比与图(c),扩散困难,则吸附效果好,这两种机理都能解释Li2S生长和Li2Sx电化学反应受阻,图(b)则是最佳状态,吸附-扩散作用相互平衡,这样生长和反应都能顺利进行。
图2硫化物质在金属氧化物表面的相关的吸附测试
图2(a)是不同的样品质量在相同的金属氧化物表面积上的吸附效果展示。对比这几种颜色的深浅,可以看出装有Al2O3和CeO2的样品,颜色更浅,说明这两种物质有较大的吸附容量,图(b)是比较同一类金属氧化物随温度升高,对Li2Sx的吸附效果,比较较好的金属氧化物Al2O3,可以看出实际效果同理论模拟较吻合,并且温度影响不大。对比所有材料都能得出一定温度区间对吸附容量影响不大。
构造与形貌表征
图3氧化物/碳纳米结构的微观结构和构造
图3(a)是假设的形成过程,可以设想出很薄的一层壳壁,金属氧化物在基体上附着。剩余图片是不同氧化物的SEM图与TEM图,其形态为柱状,并且是空心的,从TEM中看出有金属氧化物颗粒附着在基体上。根据HRTEM,知道棒状纳米颗粒分散在碳基体上,另外可判断出有些金属氧化物是单晶。从这些图得出该种模板是合成产物的理想模板,成功率高,形貌规整。
电化学性能测试
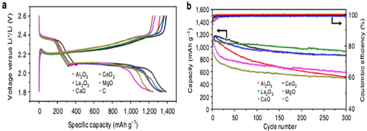
图4冲–放电曲线和硫复合物循环曲线
从图4(a)看出Al2O3/C,CeO2/C,La2O3/C,Mg O/C,Ca O/C 和 C的放电电势差别不明显,比放电容量Ca O/C和C较高,电势和容量的相反性可能是电解液中溶解Li2Sx穿梭效应所造成的,另外Ca O/C 和 C对Li2Sx捕获容量很低,从图4中看出,所有的阴极都有很长的循环周期性,循环300次后对应的库仑效率和比放电容量都还超过原有的50%,首次循环仍具有高比容量,但显示出高的容量保留效率,从100次以后,容量衰退严重。这些不同的库仑效率也许说明这些金属氧化物具有不同的容量衰变机理。
一句话总结
基于金属氧化物的复合阴极材料,展示出高比容量,高循环稳定性,通过该工作团队的研究,为其他基体材料(金属氮化物,金属氯化物,金属硫化物)应用到锂硫电池,提高它的性能,产生新的选择标准。
该成果发表在Nature Communications 上
该文献解读由材料人学术情报小组叶岚山供稿,参与新能源话题讨论请加入“材料人新能源材料交流 群422065952”,若想参与新能源文献解读和文献汇总、新能源知识科普和深度挖掘新能源学术产业信息请加“新能源学习小组 461419294”









