【引言】
镁合金(Mg)作为重要的轻质高强材料,被广泛应用于汽车和航空领域。然而,其巨大应用受制于其较抵的抗高温氧化性(高于400℃)。当温度较高时,其表面发生严重退化甚至引起火灾。据报道,当镁合金中含有微量的铍(Be)元素时,可在镁合金表面形成BeO层,从而显著提高其抗高温氧化性。然而,Be不仅昂贵而且有毒, 另一种办法是掺钙(Ca),也可通过形成富CaO层来提高抗高温氧化性。然而,目前对于这两种元素的作用效果、差异以及组合影响镁合金抗氧化性行为都有待研究。为此,本文通过同时掺入Be和Ca,来研究其组合抗高温氧化性能,从而减少Be在抗氧化镁合金中的使用。
【成果简介】
近日,由澳大利亚昆士兰大学材料科学与工程的张明星教授(通讯作者)在Corrosion Science上在线发表了一篇名为 “ Combined influence of Be and Ca on improving the high-temperature oxidation resistance of the magnesium alloy Mg-9Al-1Zn ” 的文章。文中,研究人员通过在Mg-9Al-1Zn(AZ91)合金中掺入一定量的Be 和Ca元素,发现含有20 ppm (wt)的Be and 和0.5 wt.% 的Ca的AZ91镁合金的抗氧化性比含有60 ppm (wt) 的Be的AZ91更高,并研究得到其作用机理:(a)在合金表面形成了一种Be增强型的CaO-MgO复合层;(b)通过如下两种方法来抑制镁合金在晶界处的蒸发: (i)消除Mg-Al共晶微组分;(ii) Ca合金化,使β-Mg17Al12的热稳定性增加。
【图文导读】
图1. 燃点温度测量实验装置示意图

将样品置于具有线性升温的顶开式电阻炉中的坩埚中加热,通过样品温度的急剧增加来确定着火温度。
图2. AZ91和AZ91Be60镁合金的组织和成分分析

图(a)和图(b)分别为AZ91和AZ91Be60镁合金的场发射扫描电子显微图像(FESEM)和相对应的元素面扫能谱图(EDS)。从中可看出,两种材料都以α-Mg作为基体,以α-Mg +β-Mg17Al12金属间化合物形成层状共晶组织。加入60 ppm (wt) Be并没有显著改变AZ91镁合金的原有铸态组织形态。
图3. AZX910和AZX911镁合金的组织和成分分析

图(a)和图(b)分别为AZX910和AZX911镁合金的场发射扫描电子显微图像(FESEM)和相对应的元素面扫能谱图(EDS)。从中可以看到,在这两种合金中,层状分布的Mg-Al共晶组织明显减少。当Ca含量达到1.0%质量比重时,在AZX911合金中的β-Mg17Al12 金属间化合物所占体积分数显著降低。另外,存在项链状的Al2Ca 金属间化合物和层状的Mg-Al2Ca共晶组织沿枝晶边界分布。
图4. AZX910Be60和AZX911Be60镁合金的组织和成分分析

图(a)和图(b)分别为AZX910Be60 和AZX911Be60 镁合金的场发射扫描电子显微图像(FESEM)和相对应的元素面扫能谱图(EDS)。从中可以看到,含60 ppm (wt) Be的这两种合金都没有显著改变原有铸态组织的形态。另外,在EDS的测量精度范围内,由于Be含量较少,在铸态合金中没检测到Be。
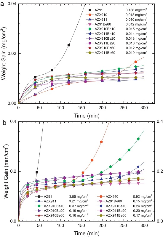
图5. 热重分析

(a)和图(b)分别为含有各种Ca和Be元素含量的系列铸态AZ91 镁合金分别在400℃和450℃下的热重数据。从中可以看到,随着时间的延长,合金的总质量是不断增加的,表明发生了氧化。并且加入有Ca和Be元素的合金在这两种实验温度下都可以不同程度的降低增重速率,说明可降低氧化速率降低,既起到一定的抗氧化作用。含20ppm(wt)Be和0.5wt%Ca的协同效应与含60ppm(wt)Be的效果相似。
图6. 宏观形貌

各种成分含量的镁合金在温度400℃的炉内氧化144h后的宏观形貌。从中可以看到,各系列的AZ91, AZX910和AZX911 镁合金都被严重氧化。其中表面上的黑色片区代表着有较厚及非粘附氧化物层的形成。在AZX910Be10 和AZ91Be60镁合金表面上有氧化物结节,意味着存在着氧化膜开裂。 AZX910Be20, AZX911Be10, AZX911Be20, AZX910Be60 和 AZX911Be60 这五种含Be的镁合金都得到了较好的保护,即有着较高的抗氧化性能,说明加入Be可以显著提高AZ91镁合金的抗氧化性能。
图7. 燃点温度

该图为各镁合金试样在加热速率为5℃/min条件下测量得到的燃点温度。从中可以看到,加入Ca 和 Be元素都有助于提高镁合金的燃点温度。当AZ91镁合金中加入0.5wt.%的Ca和20ppm(wt)的Be的提升燃点温度的组合效果比单一加入1.0wt.%的Ca或60ppm(wt)的Be的效果都要高。
图8. 各镁合金试样氧化物层的横截面形貌

图(a),(b),(c),(d)分别为AZ91, AZ91Be60,AZX911,AZX911Be60镁合金在空气中400℃条件下炉内氧化144h后的氧化物层的横截面形貌。从中可以看到,Ca和Be元素的加入有助于镁合金表面形成致密和紧凑的氧化物层。
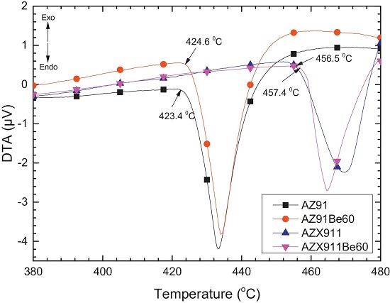
图9. 各镁合金差热分析(DTA)

该图为AZ91, AZ91Be60, AZX911和AZX911Be60 四种镁合金在加热速率为10 K/min时的差热分析(DTA)曲线. 从中可以看到,当AZ91镁合金中加入1.0 wt.% 的Ca后,其熔点提高30℃。相比之下,Be的加入对AZ91Be60, AZX911Be60 两种含Be合金的DTA曲线的影响都很小。
图10. AZX911Be60合金氧化物层演变示意图

(a)在初始氧化阶段,在金属表面形成薄的MgO层。
(b)由于Mg2 +的向外扩散,Be加强致密型的MgO层在初始形成的氧化层上继续生长。 同时,Ca2 +在金属/氧化物界面的积累导致形成富Ca区。
(c)CaO / MgO复合层形成在致密的MgO层之下,提供额外的抗氧化性保护。
表1. 各镁合金试样通过电感耦合等离子体-原子发射光谱仪(ICP-AES)测出的合金成分分析(wt. % 或 wt. ppm)和燃点温度。
表2. 图8所指区域通过EDS测出的元素成分(wt. %)
本实验通过对AZ91镁合金分别加入不同含量的的Be,Ca元素,并对其进行相应的性能测试和表征,结合形貌和断面分析,得出如下结论:(1)与Be和Ca的单一合金化相比,Be和Ca的组合合金化可以更有效地提高AZ91的抗氧化性和燃点温度。并发现含60ppm (wt)Be和1.0wt.%Ca,可使镁合金获得最高的抗氧化性。另外,加入0.5wt%的Ca能够显着降低昂贵且有毒的Be含量; (2)提出了一种关于Be合金提高抗氧化性的假设:MgO层可以通过形成Be-MgO固溶体或沿着MgO晶界通过“REE”来增强。进而形成更紧凑的MgO层,提高其进一步抗氧化的能力; (3)Ca合金化能够在AZ91合金的表面形成CaO / MgO复合氧化物层,更加紧凑和更坚固,获得更高的抗氧化能力; (4)Be和Ca 的组合合金化使AZ91合金获得组合抗氧化性。其机理为:抑制Mg蒸发和形成由外部增强的MgO层和内部CaO / MgO复合层组成的致密的双相氧化物层。双相层可作为Mg的向外蒸发和氧向内渗透的壁垒,从而实现高抗氧化性。
文献链接: Combined influence of Be and Ca on improving the high-temperature oxidation resistance of the magnesium alloy Mg-9Al-1Zn (Corros. Sci.:2017,DOI.org/10.1016/j.corsci.2017.03.023)
本文由材料人编辑部金属材料学术组彭黄涛供稿,材料牛编辑整理。欢迎加入材料人编辑部金属材料学术交流群(458281221)!
材料牛网专注于跟踪材料领域HTH官网地址 及行业进展,这里汇集了各大高校硕博生、一线科研人员以及行业从业者,如果您对于跟踪材料领域HTH官网地址 进展,解读高水平文章或是评述行业有兴趣,点我加入材料人编辑部。
投稿以及内容合作可加编辑微信:xiaofire-18,吴玫,我们会拉各位老师加入专家群。
材料测试,数据分析,上测试谷!
材料人网尊重所有进行知识传播的媒体,转载请联系tougao@cailiaoren.com。







