【引言】
1. 超级电容器的储电原理
超级电容器(Supercapacitors)作为一种能够快速充放电的电能存储器件,一直受到世界范围的广泛研发,并已开始应用于电动交通工具中。一般认为,超级电容器的储电机理有两种:双电层电容(Electrical Double Layer Capacitance,简称EDLC)以及赝电容(Pseudocapacitance,简称PC),分别如图1a和1b所示。前者依靠离子在电极表面快速可逆地吸附(充电)和脱附(放电)储存电子;后者是通过在电极表面发生的赝电容过程(包括欠电位沉积、快速氧化还原反应和无相变型离子快速嵌入和脱嵌[1])储存电子。碳材料(活性碳,碳纳米管和无杂原子掺杂的石墨烯等)主要表现出双电层电容性能,而大部分金属氧化物,导电高分子和金属氮化物等表现出赝电容性质。需要指出的是,赝电容电极的电容往往包含了双电层电容和赝电容的共同贡献,即对于赝电容电极,两种存储机理是共存的。

图1.超级电容器的两种储电机理。a)双电层电容和b)赝电容电容。图b所示的表层氧化还原反应(二氧化钌的质子化和脱质子化)是三大赝电容反应中的一种。集流体为电子导体,一般为金属片,用于沉积电极活性材料并导入/导出电子。图片来自作者。
2. 循环伏安法(Cyclic Voltammetry,简称CV)
循环伏安法是电化学测试技术中极为重要的一种。测试时,通过向欲研究的电极(一般是三电极测试体系中的工作电极)施加随时间变化的锯齿型外加电压信号(图2a),同时测量整个测试体系中的电流。作图时通过将不同外加电压下测得的电流对相应的外加电压作图即可获得CV曲线。对于一个理想的电容器(可近似理解为高中物理中介绍的平行板电容器),其CV曲线应为一个以横轴(外加电压=0 V)为对称轴的规整矩形(图2b)。

图2. 循环伏安法的a)外加电压激励信号和b)一个理想电容器体系的电流响应信号。图片来自作者。
【争论渐起】
然而实际体系不可能是理想的。种种因素诸如电极自身的电阻,离子在电解质中有限的传导速率和电极活性材料与集流体间的接触电阻,均会使CV曲线发生形变。图3所示为超级电容器电极表现出的最为常见的三种CV曲线。图3a 曲线近似矩形,形状最为接近理想电容器的CV曲线。图3b曲线也近似矩形,但在曲线上下各出现宽峰(图示为上下各一个宽峰的情况,但宽峰的数量可不止一个)。图3c曲线出现明显的一对峰。该对峰的出现被认为是在该对峰所在电位附近有氧化还原反应发生。在很长一段时间内,以下观点被广泛接受,可谓“奉为圭臬”:
- 图3a的CV曲线是双电层行为的标志;
- 图3b和3c的曲线是赝电容行为的标志。
近年来,质疑这种看法的文章开始出现。[2,3] 新观点认为图3c这种具有明显峰的CV曲线不应是赝电容行为所致,而应是一种电池材料行为。所谓电池材料行为即电极材料在储电过程中涉及整个电极体相的变化(相变或合金化)。而赝电容行为只涉及电极表层或不发生电极相变过程。新观点还认为标准的赝电容行为所表现出的CV曲线应该和双电层电容行为一致,即图3a所示的类矩形形状。而图3b只能被近似认为是赝电容行为的标志(已经偏向电池行为)。新观点的结论整理如下:
- 图3a的CV曲线是双电层行为和赝电容行为的标志;
- 图3b的CV曲线是准赝电容行为的标志;
- 图3c的CV曲线是电池行为的标志。

图3. 三种常见的CV图像形状。a)类矩形形状(多孔碳电极);b)具有宽峰的类矩形形状(氮掺杂的多孔碳电极);c)具有明显峰的形状(氢氧化镍电极)。图片来自作者。
这个观点出现在2013年的一篇发表在Science上的文章[2],作者是超级电容器研究领域中的三位大牛。如此强势的背景使得这篇文章的引用量突飞猛进,其观点也开始被该领域研究者逐渐接受。然而,近日发表在ACS Appl. Mater. Interfaces上的一篇文章对这个新观点提出了挑战。[4] 该文的作者C. Costentin等人通过数学推导,电脑模拟以及实际实验表明,图3a的类矩形CV曲线根本不可能赝电容行为所能表现出的。真实的赝电容行为应该产生如图3b所示的CV曲线形状。他们的观点总结起来就是:
- 图3a的CV曲线仅是双电层行为的标志;
- 图3b的CV曲线才是赝电容行为的标志。(该文未讨论图3c)
这究竟是怎么一回事?作者们得出这些新结论的理论依据又是什么?要回答并理解这些问题,我们需要回过头来看看之前大牛们是如何解释“类矩形的CV曲线是赝电容行为的标志”这一点。
【赝电容行为类矩形循环伏安曲线的解释】
其实关于赝电容行为CV曲线形状的理论解释很少。直接涉及到这个问题的重要文章之一要属P. Simon在2008年发表在Nat. Mater.上的一篇综述了。[5] 这篇综述认为二氧化锰(一种赝电容材料)的类矩形CV图线是由一系列排列紧密的、上下对称的双峰叠加而成的(图4)。每一个椭圆虚线对应一个可逆的氧化还原过程。将各个峰的电流叠加在一起(注:正电流和正电流叠加,负电流和负电流叠加),则最终会形成一个如图中实线所示的一个类矩形CV图像。然而需要指出的是文中没有进行更为深入的分析或提供实验证据以证明其解释的正确性。
就是如此简明的一段解释,在C. Costentin等人的眼中,却有着严重的缺陷……

图4. 二氧化锰的CV曲线。连续的、上下对称的氧化还原峰(虚线便是)叠加在一起产生了类矩形CV曲线。图中红色部分表示从Mn3+到Mn4+的氧化过程,蓝色部分代表从Mn4+到Mn3+的还原过程。图片来自文献[5]。
【问题?】
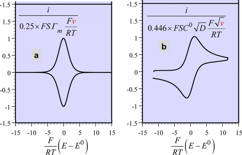
经典的电化学理论已经阐明,对于位于电极表面的氧化还原反应,当反应物供应充足,整体反应速率不受反应物或产物扩散速度影响时(即它们的扩散速度足够快),相应的CV曲线应为图5a所示(图示为上下各一个峰的情况,有时峰的数量可不止一个)。图4中每一个虚线椭圆实际就是这里图5a的简化版。但当整体反应速率受到反应物或产物有限扩散速率的影响,即反应受扩散控制时,相应的CV曲线会发变为如图5b所示的形状(图示为上下各一个峰的情况,有时峰的数量可不止一个)。此时两峰的峰位置发生错位。

图5. a)不受扩散控制的表面氧化还原反应CV曲线和b)受溶液中反应物或产物扩散控制的氧化还原反应CV曲线形状。图片来自文献[4]。
因此,图4所示的分解方法默认了每一个分解出来的氧化还原反应都必须不受扩散控制。但是,依据P. Simon等人文章的解释,这些反应都是彼此联系的。例如,第一对峰代表的反应的产物是第二对峰代表的反应的反应物,第二对峰代表的反应的产物是第三对峰代表的反应的反应物……如此要使得每一个反应都不受反应物或产物扩散速率控制是相当困难的。另外,图4分解法假定了每一对虚线峰的峰强度都基本一致。但不同的氧化还原反应因为反应历程不同峰电流往往不相同,所以这个假定的合理性应受到怀疑。最后,文中还未给出相应的实验数据佐证,这就使得图4的解释方法变得没有说服力。
于是,C. Costentin等人站出来说:不用费劲解释了,赝电容行为本来就不可能表现出类矩形的CV曲线。
【数学推导】
Costentin等人近日在ACS Appl. Mater. Inter.上发表了一篇论文,题目为“How Do Pseudocapacitors Store Energy? Theoretical Analysis and Experimental Illustration”。他们从能斯特方程出发,通过引入反应物和产物的活度系数,考虑产物和反应物之间的相互作用,对于三种不同赝电容电化学反应推导出了相应的CV曲线图像。这里为了排版方便,也为了使文章中心突出,下文略去了所有的数学推导过程。有兴趣的读者可以参考文献[4]的Supporting Information。
情境一:仅有单一反应物和单一产物的氧化还原反应
如(1)所示,该反应仅涉及一种反应物P和产物Q(因为该反应是个可逆反应,故反应物P可为逆反应的产物,产物Q可为逆反应的反应物。这里为简洁起见,后文均以正反应为准定义反应物和产物。)
P + e– <–> Q (1)
该反应的电流和电压的关系符合如下公式:

其中F代表法拉第常数,S代表电极表面积,Γm代表电极表面P和Q物质的量总和,R为气体常数,T为温度,v为扫速,E为电压,Eoapp为表观标准电压,aP,aQ和aPQ分别为P和P之间,Q和Q之间以及P和Q之间的相互作用系数。方程中(aP+aQ-2aPQ)项与PQ相互作用相互作用力大小呈正相关关系。
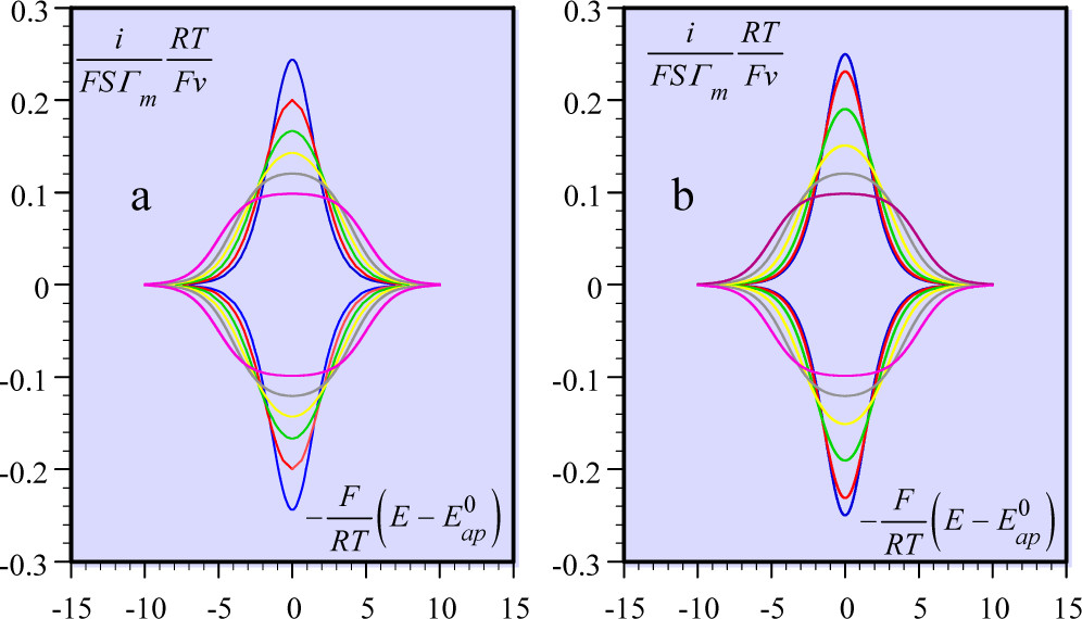
通过给(aP+aQ-2aPQ)赋予不同的值(改变P和Q之间的作用力大小),可将上述方程做出如图6a所示的曲线,即反应(1)所对应的CV曲线。该图表明,对于一个在电极表面发生的快速氧化还原反应的CV曲线,其形状类似于图5a,且随着反应物和产物相互作用力的增大,曲线变得愈发圆润。但值得注意的是,曲线两端始终呈现尖锐的转角。因此,此情况下CV曲线永远无法趋近于双电层电容行为所表现出的类矩形图像。
作者们还指出, P. Simon等人提出的分解法最终将得到同图5a一致的结果:假定有一系列氧化还原反应,它们的峰值电位从-ΔEo到ΔEo(中心电位位于Eoapp),且每一个反应的发生概率为1/(aP+aQ-2aPQ),则可推导出反应(1)的如下电流-电压关系:
![]()
通过赋予(aP+aQ-2aPQ)不同值,可将上述方程做出如图6b所示的曲线。通过比较可以看出,该曲线同图6a高度相似,从而证明了P. Simon等人的解释和C. Costentin等人的推导是“殊途同归”。这也就是说,P. Simon等人将类矩形曲线的出现归因于连续氧化还原反应的说法是不正确的。

图6. 通过计算推导出的反应(1)的CV曲线。不同颜色代表不同的(aP+aQ-2aPQ)数值:蓝-0.1,红-1,绿-2,黄-3,灰-4,紫红-5。图片来自文献[4]。
情境二:伴随阳离子的单一产物的氧化还原反应
如方程(2)所示,该反应仅涉及一种产物Q,但此时电子注入反应物P的同时阳离子(如质子,碱金属阳离子等)也随之嵌入P。相比于方程(1),方程(2)更接近一些金属氧化物赝电容材料(如二氧化锰和二氧化钌)的实际赝电容反应。
P + e– + Z+<–> QZ (2)
其中P和QZ附着在电极表面,Z+是位于电解质中的阳离子,其需要从溶液中扩散到电极表面来参加反应。如图7a所示,这个反应一共涉及三个主要的扩散/传导过程:电子从集流体传导到活性材料内部(圈1),溶液中阳离子扩散到活性材料表面(圈2)以及阳离子在活性材料表面内部的传导(圈3)。C. Costentin等人分析了如下两种情况。
A.过程1,2速率极快,讨论过程速率3对整体反应的影响
通过数学推导,C. Costentin等人发现,此时反应(2)的CV曲线形状与参数p有关。该参数p的数学表达式如方程(3):

其中,df表示活性材料的厚度,Df为阳离子在活性材料内部的扩散系数,其余参数意义同前。若保持膜厚不变,方程(3)表明,当扫速v很大且Df很大时(即三个过程均不受扩散或传导控制),p趋向无穷大,此时CV曲线应为图7b的黑色曲线所示。当扫速v很小且Df很小时,p趋向零,表明反应(2)的总体速率受到阳离子在膜内扩散的速率影响。此时CV曲线(图7b橙色曲线)与图5b类似。通过调控参数p的值可以获得一系列中间态的CV曲线。但是,没有一个CV曲线接近矩形。
B.过程1,3速率极快,讨论过程2速率对整体反应的影响
通过数学推导,C. Costentin等人发现,此时反应(2)的CV曲线形状与参数p有关。该参数的数学表达式如方程(4):

其中CbZ代表阳离子Z+在电解质主体中的浓度,Dsol为Z+在溶液中的扩散系数,其余参数意义同前。若保持膜厚一致,方程(4)表明,当扫速v很大且Dsol很大时(即三个过程均不受扩散或传导控制),p趋向无穷大,此时CV曲线应为图7c的黑色曲线所示。当扫速v很小且Dsol很小时,p趋向零,表明反应(2)的总体速率受到阳离子在溶液内扩散的速率影响。如图7c,此时CV曲线变为不规则形状(图7c的橙色曲线)。通过调控参数p的值可以获得一系列中间态的CV曲线,但仍然没有一个CV曲线接近矩形。

图7. a)反应(2)涉及的三个传导或扩散过程: – 电子从集流体传导到活性材料内部; – 溶液中阳离子扩散到活性材料表面; – 阳离子在活性材料近表面内部的传导。b)情境二A和(c)情境二B中反应(2)的CV曲线。不同颜色代表不同大小的参数p:从黑到橙参数p逐渐增大。图片来自文献[4]。
情境三:伴随质子的双产物的氧化还原反应
如方程(5)所示,该反应除了反应物P和产物Q外,还存在一组缓冲对Z–和ZH参与反应。
P + e– + ZH<–> QH + Z– (5)
此时,若假定电子的传导极为迅速,ZH在活性材料内部传导也极为迅速,仅改变ZH在电解质的扩散速率,则可发现反应(5)的CV曲线形状受如下参数p影响:

其中Cb代表缓冲对物质Z–和ZH在电解质主体中的总浓度,DsolZH,Z-为缓冲对物质在溶液中的平均扩散系数,其余参数意义同前。若保持膜厚一致,方程(6)表明,当扫速v很大且DsolZH,Z-很大时,参数p趋向无穷大,表明反应(5)所有过程不受扩散或传导控制,此时CV曲线应为图8的黑色曲线所示。当扫速v很小且DsolZH,Z-很小时,参数p趋向零,表明反应(5)的动力学受到ZH在溶液内扩散的速率影响,此时CV曲线成为图7b中的浅蓝色曲线。通过调控参数p的值可以获得一系列中间态的CV曲线,但依然没有看到一个类矩形的CV曲线出现。

图8.反应(5)在不同ZH扩散速率情况下对应的CV曲线。不同颜色代表不同大小的参数p:从浅蓝到黑色参数p逐渐增大。图片来自文献[4]。
【赝电容行为的CV曲线形状】
看到这里,可能部分读者会问到底怎样的CV曲线才是赝电容电极行为的真实表现。答案很简单,就是把上述模拟出的各种曲线样式同双电层电容行为的类矩形曲线叠加在一起就好了(图9a和9b)。中部虚线勾勒的为赝电容的贡献出的CV信号,外侧虚线类矩形勾勒出的是双电层电容的CV信号。前面已经说过,一个真实赝电容电极的电容行为是混合了双电层电容和赝电容行为的,这就是这种叠加处理的理论基础。C. Costentin等于是总结:赝电容电极的CV曲线应该表现为如图3b那种含有宽峰的类矩形,而所有呈现如图3a那种平整类矩形的CV曲线都应是纯双电层电容的行为。
他们在文章的最后部分利用磷酸钴氧电极进行实验证实。磷酸钴氧这种电极材料的赝电容行为可通过调节电解质主体中磷酸二氢根和磷酸一氢根的浓度来激活或抑制。在低浓度缓冲物电解质中,该电极主要呈现出双电层电容行为(赝电容行为被抑制),CV曲线呈现类矩形(图9c);而在高浓度缓冲物电解质中,该电极表现出赝电容和双电层电容共同行为,其CV曲线呈现出赝电容双峰叠加在双电层类矩形图像之上的形状(图9d),这与C. Costentin等人的结论一致。

图9. 双电层电容和赝电容行为共同支配下的CV曲线形状。a、b)单峰赝电容曲线和双峰赝电容曲线与类矩形双电层电容曲线叠加后形成的样式。c)在低缓冲对浓度和d)高缓冲对浓度下磷酸钴氧电极的CV曲线。灰色部分为双电层电容类矩形部分。不同颜色代表不同扫速。图片来自文献[4]。
【结语】
超级电容器研究领域中关于电容器电极储能的机理在相当长的时间内都是冷门。该领域的大多数的研究者追求的是如何合成高性能的电极材料以及组装高性能电容器件,但对相对基础的不同材料的储能机理研究少有涉猎。笔者推测这其中的原因有兴趣所致,也有实验条件的限制使然。毕竟研究微观层面的过程不如宏观层面上的组装器件测试性能来得直接、容易。但令人振奋的是,最近两年的基础机理研究开始逐渐升温。从探究离子与多孔碳电极上孔的相互作用行为[6,7],到赝电容储能机理[4],相关基础性研究已经逐渐展开。相信在不远的将来,这一类的研究将变得更加深入,计算模拟的条件也将愈发趋近于电极真实的工作状态,所得出的结论也能为广大科研工作者寻找高性能电极提供新的思路。
此外笔者还想指出的是,科学研究中要敢于质疑传统,敢于质疑权威。本篇工作便是一个很好的例子。权威的解释不一定准确,奉为圭臬的东西也不一定正确。敢于质疑并有理有据地提出自己的观点和结论,才是科学发展的“强心针”。可能在不久的将来,又有其他的研究者们站在C. Costentin等人工作的“肩膀上”,把赝电容电极材料储能机理阐明得更为深刻,抑或是提出一种更为准确的理论推翻或修改现有的观点。这些无疑都将对未来超级电容器的蓬勃发展产生巨大的推动作用。
【参考文献】
[1] V. Augustyn et al., Energy Environ. Sci., 2014, 7, 1597-1614.
[2] P. Simon et al., Science, 2014, 343, 1210-1211
[3] T. Brousse et al., J. Electrochem. Soc., 2015, 162, A5185-A5189
[4] C. Costentin et al., ACS Appl. Mater. Interfaces, 2017, DOI: 10.1021/acsami.6b14100
[5] P. Simon and Y. Gogotsi, Nat. Mater., 2008, 7, 845-854
[6] A. Forse et al., Nat. Energy, 2017, 2, 16216
[7] C. Prehal et al., Nat. Energy, 2017, 2, 16215
材料人Tianyu_Liu撰稿、编辑并发表。





