【引言】
氢气因其清洁,可再生的特点,被认为有望取代化石燃料。深度利用氢气的关键在于有效、廉价地制取氢气。析氢反应(HER)和析氧反应具有反应物可获得,输出稳定,能够大规模进行,产物纯度较高的特点因而受到广泛关注。宏观上而言,析氢反应被认为可以通过两种过程实现:Volmer/Tafel过程和Volmer/Heyrovsky过程。然而,Heyrovsky反应和Volmer反应在不同介质中,产物不同。在碱性介质中,反应物为H2O/OH,在酸性介质中为H+。由于能够形成单质氢的活性氢分子在碱性条件下活性的降低,作为HER反应里活性最高的Pt催化剂在酸性介质里催化活性要高于在碱性介质中两到三个数量级。为了提高碱性介质中的活性氢,进而提高碱性介质中的产氢效率,结构和活性独特的双金属催化剂被引入到碱性HER反应中。
【成果简介】
苏州大学黄小青课题组,美国加州国立大学Gang Lu课题组,北京大学郭少军课题组利用硫化作用,以Pt-Ni纳米线为原料,制备了一种Pt3Ni/NiS均相结构。由于NiS和Pt3Ni的界面效应,催化剂在酸性和碱性介质中都表现出优良的析氢效果,经过长时间的计时电位测试之后,表现了较强的HER抗衰减稳定性。这种催化剂的制备突显出界面工程研究对多组分电催化剂的重要意义。
图1Pt-Ni纳米线的形貌分析和元素分布

(a,d,g,j)高倍TEM图像,
(b,e,h,k)HAADF-STEM图像,
(c,f,i,l)HAADF-STEM图像以及对应的EDS能谱(红色为Ni,绿色为S,蓝色是Pt)
(a-c)Pt3Ni1 NWs-S,(d-f)Pt3Ni2 NWs-S,(g-i) Pt3Ni3 NWs-S,(j-l)Pt3Ni4 NWs-S。标尺尺寸,20 nm (a,b,c,e,g,h,j,k)。
图2 Pt3Ni3 NWs-S纳米线的界面和物相表征

(a)Pt3Ni3 NWs-S的高分辨TEM照片,(b,c)a图中的b,c区域高倍TEM图片。黄色短线所圈区域为在Pt3Ni NWs表面的NiSx颗粒。(d)Pt3Ni3 NWs-S的XRD图。钻石标志标记的峰代表Pt3Ni3 NWs-S中产生的NiS。XPS能谱中所示Pt3Ni3 NWs-S 中S 2p (e),Ni 2p(f),Pt 4f(g)。(a)-(c)所示标尺均为2nm。
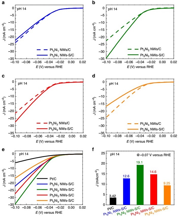
图3 不同Pt-Ni NWs-S/C材料在pH=14中的电催化活性

HER极化曲线(a)Pt3Ni1 NWs-S/C以及Pt3Ni1 NWs/ C(b)Pt3Ni2 NWs-S/C和Pt3Ni2 NWs/C(c)Pt3Ni3 NWs-S/C和Pt3Ni3 NWs/C(d)Pt3Ni4 NWs-S/C和Pt3Ni4 NWs/C(e)Pt-Ni NWs-S/C和Pt/C 在室温条件,pH=14时的HER极化曲线(f)相对于图(e)-0.07V的电流密度直方图。所有的极化曲线都以10mVs-1的扫速,1600r.p.m.的转速,无孤立绝缘电阻补偿记录。电流密度均标准化为工作电极的几何面积大小代表。
图4 Pt3Ni2 NWs-S/C在不同pH条件下的电化学活性和稳定性。

Pt3Ni2 NWs/C,Pt3Ni2 NWs-S/C以及Pt/C在室温条件,pH为13(a),1(b),0(c)的HER极化曲线。(d)相对于(a)-(c)的可逆氢电极为-0.07V偏差下的电流密度比较直方图。所有的极化曲线都以10mVs-1的扫速,1600r.p.m.的转速,无孤立绝缘电阻补偿记录。电流密度均标准化为工作电极的几何面积大小代表。Pt3Ni2 NWs-S/C以及Pt/C以5mAcm-2的电流密度,在pH为13(e),14(f)以及室温条件下的计时电位分析
图5 HER的第一性原理拟合。

(a)水分子在Pt(111)面,NiS(100)上分解的反应图解。最初状态(H2O),转换状态(TS)以及最终状态(H+OH)及对应在两个面上的能垒已经在图中标出。
(b)Pt(111)(黑色)Pt3Ni(111)表面(红色和蓝色)以及NiS(100)表面(绿色)在U=0V时无能障的HER。红色,白色,黄色,深蓝色和浅蓝色的球分别代表O,H,S,Pt,Ni。
【小结】
本研究展示了一种利用高组分隔离Pt-Ni NWs的直接硫化,合成界面可调成Pt3Ni/NiS NWs的过程。得益于Pt3Ni 和 NiS的协同作用,催化剂在碱性溶液里,相对于初始的Pt3Ni2 NWs/C和商品化Pt/C催化剂,展现了增强的HER催化效应,在pH条件为14,电压为0.07V时,具有37.2mAcm-2的电流密度,比商品化Pt/C材料(3.83mAcm-2)高出9.7倍。
原文链接: Precise tuning in platinum-nickel/nickel sulfideinterface nanowires for synergistic hydrogenevolution catalysis (Nat. Commun.,2017, DOI: 10.1038/ncomms14580 )
本文由材料人新能源学术组东海木子供稿,材料牛整理编辑。
材料牛网专注于跟踪材料领域HTH官网地址 及行业进展,如果您对于跟踪材料领域HTH官网地址 进展,解读高水平文章或是评述行业有兴趣,点我加入编辑部。
材料测试,数据分析,上测试谷!





