【引言】
随着气候变化、环境污染及化石燃料短缺,可续性再生储能技术显得越来越重要。电化学储能技术在诸多储能技术中被认为是一种廉价的持续供能、供电的手段。锂离子电池因其相对高的能量密度,良好的循环性和低自放电成为近来最成功的商业化充电电池。商品化的锂电池采用钴酸锂或磷酸铁锂做正极,石墨做负极。钴氧化物与其他物质相比,既昂贵,毒性又大,因此成为亟需被替代而深入研究的材料。为了改善锂离子电池的性能,包含锂氧化物和锂的磷酸盐在内的诸多正极材料在近年来得到广泛的研究,但含锂化合物仍然存在昂贵、毒性强、合成过程复杂的问题。另外,大多数现有锂电电极材料在长时间循环、安全性、能量密度方面依旧存在问题,新一代高性能复杂储能装置的制备面临着巨大的挑战。因此,构建一种材料简单、电化学性能优异的电池系统日益成为人类关注的焦点。
近年来,双离子电池体系被纳入研究范畴。在离子嵌入电极材料这一过程被广泛研究的同时,大多数的研究关注于含碳材料。碳材料的高度石墨化结构提供的离子嵌入能力对电池体系总能量的提升至关重要。在双离子电池系统中,电解液不仅要满足离子可循环地嵌入\脱出石墨电极,而且能够在相对较高的电压操作条件下保持电化学稳定性。
【成果简介】
北京HTH官网地址 大学的焦树强教授(通讯作者)与北京理工大学的陈浩森(通讯作者)合作,以石墨为正极,铝箔为负极,以LiPF6+AlF3 EMC-DMC (EMC:碳酸甲乙酯,DMC: 碳酸二甲酯)体系为电解液,以1,2-亚乙基烯为SEI膜添加剂,构建一种新型的混合离子电池。该电池体系是以复杂离子(PF6 –和AlF4–)在石墨电极中的脱嵌为基础,在铝电极表面沉积Li形成AlLix合金。在放电过程,所有离子将被重新释放至电解液中。这一过程在示意图1中得到充分地说明。测试数据表明,电池能够在电流密度为100 mA g-1时提供高达120 mAh g-1放电容量。
【图文简介】
1、混合离子电池体系的组成

从左到右:(+)石墨/液体电解液(LiPF6+AlF3 EMC-DMC, VC)/隔膜/铝箔(-)。在正极部分,复杂离子(PF6 –和AlF4–)在充/放电过程中嵌入/脱出。另一面,充电过程中,锂离子沉积在铝箔表面形成AlLix,在放电过程中重新溶解到电解液中。在整个过程里,AlF3能够强化电池储能,保护铝箔不被溶解。
2、电池循环过程的容量和库伦效率的测试

a)石墨晶体结构的示意图,层间距3.4 Å。
b,c)制备的石墨正极及组装的袋状电池。
d,e)电池全充满后的电压测量及对绿色LED灯的点亮。
f)电池在电压范围相对于Li+/AlLix电位为3.0 V- 5.0 V。
g)充放电电流密度分别为200 mA g-1 和 100 mA g-1条件下循环300次后的循环性能和库伦效率。
3、石墨电极材料的AFM表征

a)典型的AFM图像
b)3D AFM图像
c)初始石墨片的厚度。图片的尺寸为15 um。
d-f)石墨正极在循环后的AFM图像。图像尺寸为4.0 um×4.0 um。
g)不同状态石墨正极的HRTEM (显示交叉层状结构),1:初始石墨,2:充电到4,6V,3:充电到5.0V,4:放电到4,4V,5:放电到3.0V。
h)沿着箭头处的剖面图对比显示出不同样品的层间距。
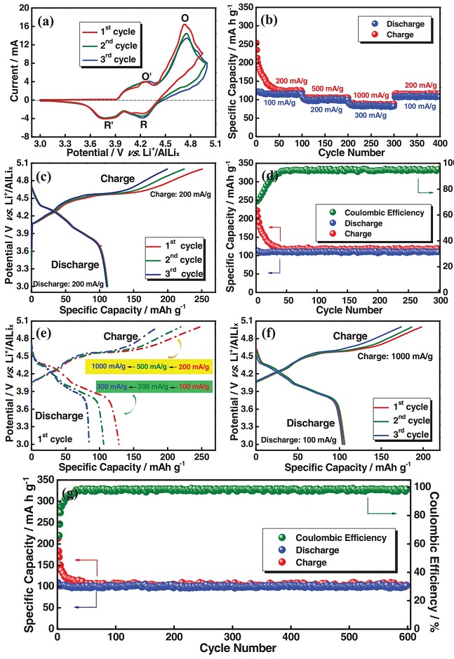
4、电池的CV,充放电和循环性能的电化学表征

a)AlF3做电解液,5 mVs-1的扫速下的CV曲线。
b)不同电流密度下的倍率容量。
c)电流密度为200mAg-1 时初始三电极充放电CV曲线。
d)在200mAg-1电流密度下历经300次循环的循环性能和库伦效率。
e)电流密度从低到高状态下初始的充放电曲线。
f)电流密度为1000mAg-1和100mAg-1时的初始三电极充放电曲线。
g)循环600次后的循环性能和库伦效率。
5、电池体系的元素能谱和材料结构的表征,电化学阻抗的分析及电化学过程中气体分压的变化

a-c)未加工的初始状态石墨及石墨电极分别充电至-5.0V和放电到3.0V时的F1s,Al 2p, P 2p XPS元素谱图。
d)初始状态的铝箔(黑线)及充电至-5.0V的铝电极(红线)的XRD谱图。
e)电池循环过0次,10次和100次后,频率范围从100kHZ到0.1HZ的5mV振幅频率的电化学交流阻抗测试拟合出的Nyquist 图。
f)黄色区域(e)的局部放大图。
g,h)相同电解质的圆柱电池图(黄色:气体通入,绿色:气体通出),(h)为(g)图的部分放大。
i,j)电池充放电后,用高分辨质谱测量出的电池系统原位气体分压。
【小结】
本文介绍了一种以石墨为正极,铝箔为负极的新式多离子快速充放电电池的加工和电化学测试。能量的储存和释放基于复杂离子(PF6 –,AlF4–)的嵌入脱出。在此过程中,AlF3不仅能增强能量的存储,而且能够保护铝箔避免溶解。电池在高电流密度下,历经600次充放电能够保有大约100 mAh g-1的容量和接近99%的库伦效率,同时拥有平均在4.0-4.5V的电压平台,从而扩展了电池的应用。这种电池形式的设计和尝试对混合型离子电池的发展起到了巨大的推动作用。
原文链接:A Novel Ultrafast Rechargeable Multi-Ions Battery (Adv. Mater., 2016, DOI: 10.1002/adma.201606349)
本文由材料人新能源组东海木子供稿,材料牛编辑整理。
点这里加入材料人的大家庭。参与新能源话题讨论请加入“材料人新能源材料交流群 422065952”





