一、 热重分析(Thermogravimetric Analysis)(TG)
1、热重原理
热重法(TG)是在程序温度控制下测量试样的质量随温度或时间变化的一种技术。热重分析主要研究在惰性气体中、空气中、氧气中材料的热的稳定性、热分解作用和氧化降解等化学变化;还广泛用于研究涉及质量变化的所有物理过程,如测定水分、挥发物和残渣、吸附、吸收和解吸、气化速度和气化热、升华速度和升华热、有填料的聚合物或共混物的组成等。
样品重量分数w对温度T或时间t作图得热重曲线(TG曲线):w = f (T or t),因多为线性升温,T与t只差一个常数。TG曲线对温度或时间的一阶导数dw/dT 或 dw/dt 称微分热重曲线(DTG曲线)。

下图中,B点Ti处的累积重量变化达到热天平检测下限,称为反应起始温度;C点Tf处已检测不出重量的变化,称为反应终了温度;Ti或Tf亦可用外推法确定,分为G点H点;亦可取失重达到某一预定值(5%、10%等)时的温度作为Ti。Tp表示最大失重速率温度,对应DTG曲线的峰顶温度。峰的面积与试样的重量变化成正比。

2、影响热重测定的因素
2.1升温速度
升温速度越快,温度滞后越大,Ti及Tf越高,反应温度区间也越宽。建议高分子试样为5~10K/min,无机、金属试样为10~20K/min。

2.2 样品的粒度和用量
样品的粒度不宜太大、装填的紧密程度适中为好。同批试验样品,每一样品的粒度和装填紧密程度要一致。

2.3 气氛
常用气氛为空气和N2,亦使用O2、He、H2、CO2 、Cl2和水蒸气等。气氛不同反应机理不同。气氛与样品发生反应,则TG曲线形状受到影响。例如PP使用N2时,无氧化增重。气氛为空气时,在150~180°C出现氧化增重。应考虑气氛与热电偶、试样容器或仪器的元部件有无化学反应,是否有爆炸和中毒的危险等。气氛处于动态时应注意其流量对测温精度的影响,气流速度40~50mL/min。如存在挥发物的再冷凝,应加大热天平室气氛的通气量。

2.4 试样皿
(1)试样皿的材质有玻璃、铝、陶瓷、石英、金属等;
(2)试样皿对试样、中间产物和最终产物应是惰性的;
(3)聚四氟乙烯类试样不能用陶瓷、玻璃和石英类试样皿,因相互间会形成挥发性碳化物;
(4)白金试样皿不适宜作含磷、硫或卤素的聚合物的试样皿,因白金对该类物质有加氢或脱氢活性;
(5)在选择试样皿时试样皿的形状以浅盘为好,试验时将试样薄薄地摊在其底部,以利于传热和生成物的扩散。

2.5 温度的标定
热天平可采用不同居里温度(Curie temperature )磁性物质。在居里点产生表观失重。

二、 热机械分析仪(thermomechnical analyser) (TMA)
1、TMA原理
热机械分析,是指在程序温度下和非震动载荷作用下,测量物质的形变与温度时间等函数关系的一种技术,主要测量物质的膨胀系数和相转变温度等参数。
TMA基本装置如图所示:

工作模式:


TMA的温度校正:

2、 玻璃化转变温度测定
高交联度、高填充量、共混材料链段运动受限,TMA测定比DSC灵敏度高得多;涂层的Tg用TMA测定非常方便。
2.1 测定刹车片的Tg

2.2 测定环氧印刷线路板的Tg

2.3 测定物理老化
环氧在略低于Tg处aging,样品收缩。加热通过Tg发生膨胀,再冷却至Tg以下则处于非aging态,由此测定aging 的收缩量。

3、聚合物中多种行为观察
3.1 压入模式测定交联与非交联PE的软化行为

3.2 压缩模式观察PE熔点与发泡过程

3.3 拉伸模式观察PET的冷结晶

3.4 拉伸模式观察双向拉伸PE加热过程


3.5 研究水份对尺寸的影响


3.6 热胀系数测定
线膨胀系数: 
体膨胀系数:

三、 示差扫描量热法(Differential Scanning Calorimeter)(DSC)
1、DSC原理
DSC是测量输入到试样和参比物的热流量差或功率差与温度或时间的关系。可用于测量包括高分子材料在内的固体、液体材料的熔点、沸点、玻璃化转变、热容、结晶温度、结晶度、纯度、反应温度、反应热等。
DSC的前身是DTA(Differential Thermal Analysis)。DSC与DTA测定原理的不同,DSC是在控制温度变化情况下,保持△T=0,测定△H-T 的关系;DTA是向样品与参比提供同样的热量,测量△T-T关系。DSC与DTA最大的差别是DTA只能定性或半定量,而DSC可定量分析。

DSC曲线:纵坐标是试样与参比物的供热速率差dH/dt (dQ/dt),单位为毫瓦(mw),横坐标为温度或时间。DSC谱图必须标明吸热(endothermic)与放热(exothermic)效应的方向。
DSC纵坐标的本质:
(1) 样品质量不变、无反应时,纵坐标为热容Cp

(2) 发生反应时:曲线出峰;峰包含的面积=反应焓+热容变化焓,其中热容变化焓常被忽略。


用校准物质同时进行温度和热量校准。校准物质:高纯度(≧99.999%)、物质的特性数据已知、不吸湿、对光稳定、不分解、无毒、与器皿或气氛不反应、非易燃易爆。校准前应彻底清洗器皿,确保校准物质无吸附层和氧化层,准确称重。国际热分析与量热学协会所建议的标准物质有环戊烷、水、铟、苯甲酸、锡、铝等。

2、玻璃化转变与热焓松弛

(1) 冷却速率越快,玻璃态热容值越高

(2) 在玻璃态某一温度Ta退火,体系热容随退火时间下降,焓值也下降,称作热焓松弛。其中,
称作退火过冷度。

(3) 最大可松弛焓(退火时间无限长)称作淬火玻璃态样品的过剩焓,记作△H0。

(4) 松弛焓的过剩焓在加热时得到补偿,可通过DSC测量。

Cp0(T)是无热焓补偿的热容曲线。

(5) 如果退火时间t有限,则松弛的焓值为△Ha<△H0,


(6) 松弛过剩焓△Ha是时间的函数,退火时间越长,松弛焓越大,需要补偿的焓越多


(7) Tg测定的推荐程序
样品用量10~15 mg;以20o℃/min加热至发生热焓松弛以上的温度,消除热历史;以最快速率将温度降到预估Tg以下50o℃;再以20o℃/min加热测定Tg;对比测定前后样品重量,如发现有失重则重复以上过程。
3、熔融与结晶
表征熔融的三个参数:(1)Tm:吸热峰峰值;(2)Hf:吸热峰面积;(3)Te:熔融完全温度。
表征结晶的两个参数:(1)Tc:放热峰峰值;(2)Hc:放热峰面积。

(1) 样品量与Tm值的关系:

(2) 熔融峰有宽度,称作熔限;经常出肩,甚至是双峰;熔点总是高于结晶温度。原因:①结晶与熔融并非互逆过程;②熔点、结晶温度与晶片厚度相关;③晶片处于非平衡态,晶片自发增厚。

熔点与晶片厚度的关系:晶片越厚,熔点越高;晶片无限厚,平衡熔点。Thompson-Gibbs公式:

结晶温度与晶片厚度的关系:结晶温度越高,初生晶片越厚;晶片是不平衡的,有增厚倾向。 
故:①晶片厚度不同,熔点不同,故产生熔限、出肩、双峰;②晶片增厚,故熔点一定高于结晶温度,增厚程度越大,熔点越高。
结晶与熔融点必须反复循环加热/冷却,才能得到可重复数据。Tm与Tc测定的重复性在±3o℃左右,这一误差比Tg测定要高。
成核效率表征:
其中Tca:加成核剂后的结晶温度,Tc1:未加成核剂的结晶温度,Tc2:体系自成核的最高结晶温度。
4、结晶动力学
4.1 等温结晶动力学
Avrami方程:
其中α (t):t时刻结晶分数;k (T):与温度有关的结晶速率常数;n-:Avrami指数,与成核机制和结晶形态有关。
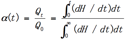
(1)
其中Q0:总放热;Qt:t时刻累积放热;Qt/Q0:t时刻结晶分数。

(2)
取两次对数得
左侧对lnt作图,截距为lnk,斜率为n。

4.2 非等温结晶动力学
(1) Jeziorny法
Modified Avrami:
两边取对数得

非等温校正:
在同一个冷却速率,以α对时间作图:

(2) Ozawa法
线性降温速率:

K(T)为变温函数,m为Ozawa指数。
两边取对数得:
再对两边取对数得:
固定温度,左侧对logβ作图,可得K(T)和m。
Ozawa的实验曲线:在同一个温度,以α(T)对冷却速率作图


(3) Mo(莫志深)法
Modified Avrami: 
与Ozawa: 
相结合:



固定α,以logβ对logt作图得F(T)与a。F(T)的物理意义为在单位时间内达到指定相对结晶度所需的冷却速率,“指定相对结晶度”就是所固定的α。

(4)三种非等温方法比较

5、用DSC测溶度参数
先将被测物置于封闭容器中10min,达到平衡后打开容器盖,蒸发液体,测定焓值。仪器用水校正:水的焓值:43.9 kJ/mol。
仪器改造示意图:
下期材料人网将为您介绍高分子热分析方法之DMTA(动态力学分析)、DETA(介电分析)。
推荐阅读:学术干货丨高分子热分析技术先睹为快
本文由材料人高分子材料组watermelon供稿,材料人网编辑整理。
材料牛网专注于跟踪材料领域HTH官网地址 及行业进展,这里汇集了各大高校硕博生、一线科研人员以及行业从业者,如果您对于跟踪材料领域HTH官网地址 进展,解读高水平文章或是评述行业有兴趣,点我加入材料人编辑部。
材料人网向各大团队诚心约稿,课题组最新成果、方向总结、团队访谈、实验技能等皆可投稿,请联系:邮箱tougao@cailiaoren.com 或 QQ:97482208。





