【引言】
高效的热电材料因为可以直接将热能和电能进行转换,因此得到了极大关注。关系热电材料性能的三个参数就是所谓的“无量纲品质因数”,即ZT。理想情况下,高性能的热电材料应该同时具有高的电导率和塞贝克系数(Seebeck coefficient)以及最小的总热导率。然而,由于塞贝克系数S、电导率σ和总热导率κ之间的复杂关系,因此,要得到具有极高ZT的热电材料是极具挑战的。目前,增加ZT主要是通过能带结构的剪裁、减小热导率提高功率因数实现的。此外,作为唯一的独立参数,减小晶格热导率(κlat)也是提高ZT的有效方法。包括原子、纳米和介观尺度的复杂调控方法都应用到了减小晶格热导率(κlat)中。除此之外,某些单相的化合物也具有低的热导率。SnSe由于具有多重的价带结构和极低的晶格热导率而具有极高的功率因数。先前对于K2Bi8Se13的研究也指出了其复杂的晶体结构和低的热导率。然而,目前并未有关于K2Bi8Se13体系中掺杂和高温下性能的报道。
【成果简介】
近日,来自北京航空航天大学的赵立东教授和美国西北大学的谭刚健博士(共同通讯)报道了具有极高热电品质因数的K2Bi8Se13,并研究了其机理。该成果以“Multiple Converged Conduction Bands in K2Bi8Se13: A Promising Thermoelectric Material with Extremely Low Thermal Conductivity”为题发表在了2016年11月28日的Journal of the American Chemical Society上。
实验表明,K2Bi8Se13表现出了相距很近的多重导带,通过掺杂可以对其进行活化,这导致了在升温的过程中K2Bi8Se13具有极高的塞贝克系数和功率因数。由于晶胞单元大、复杂的低对称晶体结构和非指向性的键合使得其在300-873K的温度区间内表现出了0.42和0.20W m-1 K-1的极低晶格热导率。此外,声子速率测试结果表明其在平均声子速率(1605ms-1)、杨氏模量(37.1GPa)、Grüneisen参数(1.71)和德拜温度(154K)等参数上都表现突出。利用透射电镜和电子衍射对样品微结构和缺陷的分析表明次生相K2.5Bi8.5Se14是沿着K2Bi8Se13共生存在的。大的功率因数和低的热导率导致了电子掺杂的K2Bi8Se13在873K时具有约1.3的品质因数ZT。
【图文导读】
图1 K2Bi8Se13的晶体结构

图2 掺杂不同量BiCl3 的K2Bi8Se13的XRD分析

(a)掺杂不同量BiCl3 的K2Bi8Se13的XRD图
(b)通过衍射数据得到的里特维德两相精修拟合图
图3 K2Bi8Se13的能带结构分析

(a)具有自旋轨道耦合(SOC)的K2Bi8Se13的电子结构
(b)总态密度和投射态密度
(c)Se原子的p轨道分布
(d)Bi原子的p轨道分布
图4 K2Bi8Se13的透射电镜和电子衍射分析

(a)K2Bi8Se13沿[010]方向透射电镜低倍图片
(b)嵌入K2.5Bi8.5Se14相的K2Bi8Se13的高倍透射电图
(c)两相(K2.5Bi8.5Se14和K2Bi8Se13)的电子衍射图
(d)K2Bi8Se13中的堆叠层错(SF)
(e)K2Bi8Se13的低角度晶粒晶界(SAGB)
(f)低角度晶粒晶界(SAGB)的电子衍射图
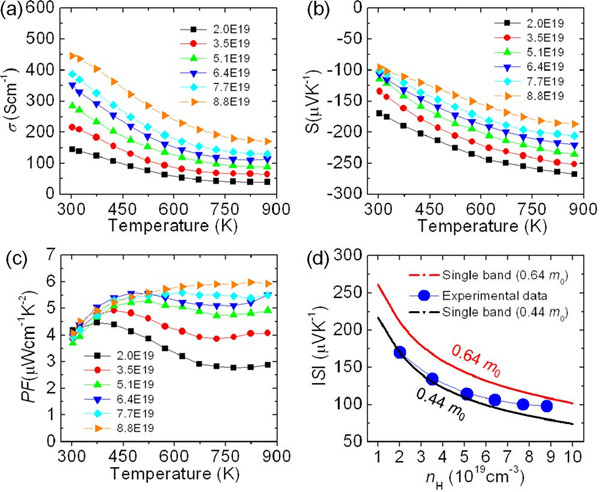
图5 不同载流子浓度下K2Bi8Se13的热电性质随温度变化图

(a)电导率
(b)塞贝克系数
(c)功率因数
(d)Pisarenko曲线
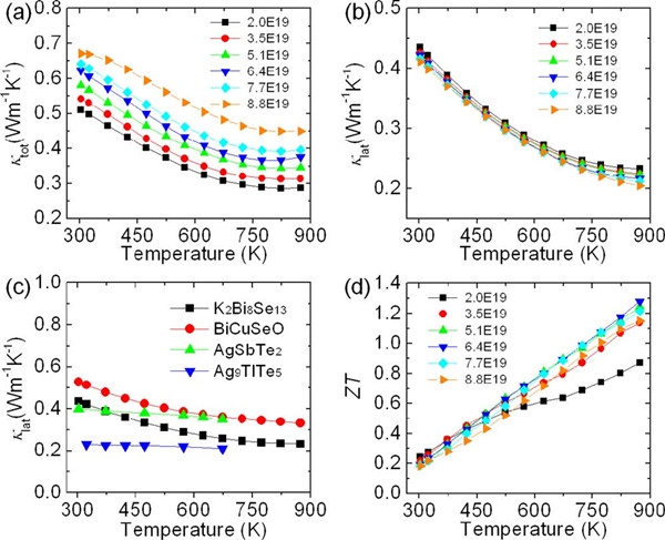
图6 不同载流子浓度下K2Bi8Se13的热电性质随温度变化图

(a)总热导率
(b)晶格热导率
(c)K2Bi8Se13和一些具有低热导率的热电材料间晶格热导率的比较
(d)品质因数ZT
【小结】
工业生产和人类生活中产生的大量热能大部分都被直接排放进了地球大气中,这造成了极大的能源浪费,因此,收集这些废热将其转化为电能就成为了极具应用前景的研究课题。本文中研究的热电材料K2Bi8Se13具有极其优异的热电性能,对其结构的分析揭示了其具有优异性能的原因,这也为材料的进一步应用提供了基础。
文献链接:Multiple Converged Conduction Bands in K2Bi8Se13: A Promising Thermoelectric Material with Extremely Low Thermal Conductivity(J. Am. Chem. Soc., 2016, DOI: 10.1021/jacs.6b09568)
本文由材料人电子电工学术组大城小爱供稿,材料牛整理编辑。
材料牛网专注于跟踪材料领域HTH官网地址 及行业进展,如果您对于跟踪材料领域HTH官网地址 进展,解读高水平文章或是评述行业有兴趣,点我加入编辑部。
材料测试,数据分析,上测试谷!





