【引言】
以氢气作为可持续发展能源媒介的“氢经济”被认为是解决未来环境问题和能源危机的长期方案,目前氢气主要来源于对天然气重整以及碳基燃料气化,但是这样获得的氢气中含有许多杂质,例如CH4,CO,CO2以及H2S等。对氢气的纯化分离是使得氢气可以大规模应用的主要难题。
【成果简介】
到目前为止,氢气的分离纯化主要采用钯以及钯合金膜并被广泛研究,但是它们在一些气氛下不能稳定存在,例如H2S;之后科研工作者研究了可在H2S气氛下稳定存在的质子导体型陶瓷膜,但是限于质子导体电导率的不足,难以用于实际应用。近日,中国科学院大连化物所朱雪峰教授和杨维慎教授在Energy & Environmental Science上发文,题为“H2S-tolerant oxygen-permeable ceramic membrane for hydrogen separation with performance comparable to palladium-based membranes”,他们制备了Sm0.15Ce0.85O1.925-Sm0.6Sr0.4Al0.7Fe0.3O3-δ(SDC-SSAF)非对称透氧膜用于氢分离研究,在900℃下氢渗透速率高达16.2mLcm-2min-1,比常见的质子导体型透氢膜高了1-2个数量级,可与钯基金属膜媲美;并且该陶瓷膜在含H2S气氛中可以长期稳定工作,保持性能不衰减。
【图文导读】
图一:使用透氧膜进行氢分离的原理图

图二:SDC-SSAF非对称膜的扫描电子显微镜图像

a)致密层的表面形貌
b)陶瓷膜的横截面图像
c,d) 陶瓷膜以及多孔支撑层浸渍催化剂后的横截面图像
e,f) 陶瓷膜以及多孔支撑层在不含H2S气氛下运行后的横截面图像
g,h) 陶瓷膜以及多孔支撑层在含有H2S气氛下运行后的横截面图像
图三:各影响因素对透氢速率的影响

a)氢气浓度对透氢速率的影响
b)H2/N2混合气流量对透氢速率的影响
c)H2O/He混合气流量对透氢速率的影响
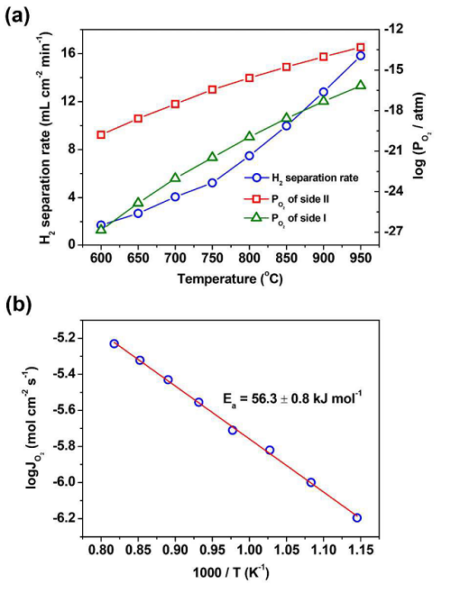
图四:非对称膜氢渗透速率与温度间的关系

a)温度对氢渗透速率以及非对称膜两侧氧分压的影响
b)非对称膜透氧速率的阿伦尼乌斯关系图
图五:非对称膜的长期稳定性测试

a)非对称膜氢渗透速率的稳定工作
b)不同浓度H2S的存在对氢渗透速率的影响
c)200ppmH2S气氛下非对称膜氢渗透速率的稳定性
【总结】
研究人员提出了一种用于氢分离获得高纯氢的新方法,制备了SDC-SSAF非对称透氧膜,并将其应用于氢分离领域,并取得了极好的效果,其氢渗透速率可与钯基金属膜媲美,并且在H2S气氛下也可以稳定运行。
文献链接:H2S-tolerant oxygen-permeable ceramic membrane for hydrogen separation with performance comparable to palladium-based membranes(Energ. Environ. Sci. 2016,DOI: 10.1039/C6EE02967A)
本文由材料人编辑部新能源学术组 浮世梦 供稿,材料牛网专注于跟踪材料领域HTH官网地址 及行业进展,这里汇集了各大高校硕博生、一线科研人员以及行业从业者,如果您对于跟踪材料领域HTH官网地址 进展,解读高水平文章或是评述行业有兴趣,点我加入材料人编辑部。
参与新能源话题讨论请加入“材料人新能源材料交流群 422065952”,若想参与新能源文献解读和文献汇总、新能源知识科普和深度挖掘新能源学术产业信息,请加qq 2728811768。欢迎大家到材料人宣传HTH官网地址 成果并对文献进行深入解读,投稿邮箱tougao@cailiaoren.com。欢迎关注微信公众号,微信搜索“新能源前线”或扫码关注。
材料测试,数据分析,上测试谷!






