【引语】
太阳能电池,例如染料敏化太阳能电池、聚合物太阳能电池和钙钛矿太阳能电池等,都可将太阳光直接转化为电能,是一种颇具潜力的可再生能源。其中,聚合物太阳能电池(PSCs)结合了光电可调性和机械柔性基板上低成本溶液可加工性的优点。过去十几年对PSCs的研究显示,在富勒烯-聚合物、无富勒烯的体异质结体系的两类聚合物中,其光电转换效率(PCE)超过10%。而打破10%这个壁垒的方法有:合成新的电子给体,发展有效的电荷传输材料,进行形态控制以及周期或非周期结构的光操作。
以上方法中,制备新的电荷传输材料是种有效的方法。目前开发了一系列能够满足需要的有效电荷传输层材料,包括碱金属盐,两性离子分子,离子液体,n型金属氧化物,中性聚合物(PEIE),共轭聚电解质(PFN)。其中,金属氧化物是用于反式聚合物太阳能电池(i-PSC)的一类重要的电子传输材料,已经引起了极大的关注。金属氧化物可以在溶液里加工,并且它们的功函数可以通过改变成分和表面处理来调节,可用作空穴传输层(HTL)或电子传输层(ETL)。低温处理的金属氧化物ETLs也已经被开发以降低能量消耗并且与塑料基板上的PSC制造兼容。然而,当n型金属氧化物薄膜在PSCs上作为ETLs时,在初始照明中它们经常显示S形J-V曲线,具有较低的PCE和填充因子(FF)。在连续的光照下,器件度量逐渐恢复并最终到达饱和状态,这被称为“光渗透”问题。这一问题常在TiOx中观察到,并且和制备方法无关。克服光渗透问题的一种方法是将金属氧化物与其它元素化学掺杂,这可以降低其功函数并增加其载流子密度,并因此减少ETL和光活性层之间的能垒。
【成果简介】
近日,武汉理工大学王涛教授(通讯作者)的研究团队在Adv. Mater.上发文,题为“Light-Soaking-Free Inverted Polymer Solar Cells with an Efficiency of 10.5% by Compositional and Surface Modifications to a Low-Temperature-Processed TiO2 Electron-Transport Layer”。该研究团队并未使用任何本体化学掺杂工艺而是对金属氧化物膜进行改性,制备了具有优良稳定性和高转换效率的反式聚合物太阳能电池。
研究人员将四氯化钛作为前驱体通过低温法合成了TiO2纳米颗粒(NPs),制备了高结晶度和高导电性的锐钛矿TiO2纳米颗粒。然后添加了一种钛螯合物,二异丙氧基双乙酰丙酮钛(TIPD),热退火转化为双(2,4-戊二酮基)钛氧化物(TOPD),以减少TiO2薄膜的孔隙率和表面粗糙度。并用紫外光照射,胺类极性溶剂乙醇胺(EA)清洗TOPD,可以显著增加PCE和消灭这些i-PSCs中光渗透的问题。最后使用PTB7-Th和PC71BM相组合作为活性层的光伏共混物,在单结PSC中PCE可达10.5%。
【图文导读】
图1.聚合物及反式器件的表征

(a) 供体聚合物PTB7-Th和富勒烯受体PC71BM的分子结构;
(b) 各类反式器件中的能级;
(c) 一种反式PSC的示意图;
(d) XPS图:纯TiO2薄膜的Ti 2p(左上),O 1s(左下)轨道的核能级光谱,在EA处理前(右上)后(右下)的TiO2:TOPD膜的N 1s轨道的核能级光谱;
浇铸在氧化铟锡(ITO)基板上的(e)TiO2 NPs和(f)TiO2:TOPD薄膜的表面形貌。
图2.传统器件与反式器件的对比

(a) c-PSC(常规PSCs)和分别以TiO2:TOPD、经UV+EA处理后的TiO2:TOPD为ETL的i-PSC在100mWcm-2标准照射下的稳定J-V曲线;
传统器件和反式器件的(b)稳定性,(c)吸收,(d)EQE,(e)光致发光与(f)光强相关的开路电压 曲线。
图3. i-PSCs基于是否经过UV和EA处理的TOPD:TiO2电子传输层的光渗透过程

经过UV、EA处理无光渗透问题的(a)反式PSC器件的J-V特性曲线图,以(b)与之对应的随照射时间变化的PCE和FF曲线图;
未经过UV、EA处理有光渗透问题的(c)反式PSC器件的J-V特性曲线图,以及(d)与之对应的随照射时间变化的PCE和FF曲线图。
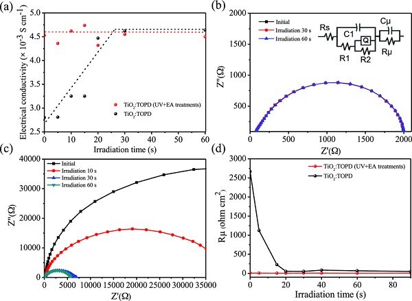
图4.原始TiO2:TOPD薄膜和经处理TiO2:TOPD薄膜的性能对比

(a)原始TiO2 :TOPD薄膜和经过UV、EA处理的TiO2:TOPD薄膜的导电性;
(b,c)未经UV、EA处理,含TiO2:TOPD薄膜的i-PSC的光渗透依赖的EIS光谱;
(d)i-PSCs的光渗透依赖界面电阻。
【总结】
该研究团队合成了经UV光照射和EA溶剂漂洗处理的低温制备的TiO2:TOPD电子传输层,用来制备反式单结PTB7-Th:PC71BM的BHJ太阳能电池,具有10.55%的最佳光电转换效率和高达72%的填充因子。这是所报道的最好的单结反式聚合物太阳能电池之一,并且在环境气氛下与常规器件相比表现出优异的稳定性。他们提供了一种不通过任何本体化学掺杂而是对金属氧化物膜改性的方法,制备了具有优良稳定性和高转换效率的反式聚合物太阳能电池。
文献链接:Light-Soaking-Free Inverted Polymer Solar Cells with an Efficiency of 10.5% by Compositional and Surface Modifications to a Low-Temperature-Processed TiO2 Electron-Transport Layer(Adv. Mater.,2016,DOI:10.1002/adma.201604044)
本文由新能源小组 安艾安 投稿,材料人新能源学术小组编辑整理。
材料牛网专注于跟踪材料领域HTH官网地址 及行业进展,这里汇集了各大高校硕博生、一线科研人员以及行业从业者,如果您对于跟踪材料领域HTH官网地址 进展,解读高水平文章或是评述行业有兴趣,点我加入材料人编辑部。
参与新能源话题讨论请加入“材料人新能源材料交流群 422065952”,若想参与新能源文献解读和文献汇总、新能源知识科普和深度挖掘新能源学术产业信息,请加qq 2728811768。欢迎大家到材料人宣传HTH官网地址 成果并对文献进行深入解读,投稿邮箱tougao@cailiaoren.com。欢迎关注微信公众号,微信搜索“新能源前线”或扫码关注。





