【引言】
近年来,在理论预测Weyl半金属上的实验进展再次掀起对Weyl费米子的研究狂潮,但Weyl费米子至今在高能实验中并未得到发现。Weyl半金属是一种三维的量子材料,其导带和价带在Brillouin区(布里渊区)以单独的点相连接,因而称为Weyl结点(Weyl nodes)。电子状态在节点附近呈线性离散,并表现出手性,可用Hamiltonian函数表示,H=χνp∙σ(ν-速度,p-动量,σ-泡利矩阵)。χ=±1时,为手性电子,与Weyl费米子的最特殊的一中性质—手性异常相联系。
为了观察这两种相关效应,获知其特点,众多科学家都付出了努力。目前,对于手性异常,所知的便是纵向的负磁阻效应,这在很多材料中通过实验得以证实。但因由异常手性引起,在Weyl费米子中预测的其他一系列特性,如热电效应等,还很少通过实验得到发现。
【成果简介】
北京大学的廖志敏和吴孝松(共同通讯作者)在Nature Communications上发布最新研究成果,提出磁场作用下,在Cd3As2 Weyl费米子的手性异常特性中检测出热电信号。当磁场平行于温度梯度方向时,观测出对热电势的强二次抑制。二次系数近于二倍的电导率。而这些有趣的实验发现,根据Weyl费米子的手性异常的特点便都可得到理解。对于Weyl费米子异常热电性的实验发现,也有助于对手性异常进行更深的了解。
【图文导读】
图一、温度与ρ和Sxx的相互关系

(a) ρ-T图,内嵌图为设备的光学显微镜图,标尺为20 μm。
(b) Sxx-T图,(Sxx-热能/热电势)。
图二、垂直磁场中,设备的电阻率和热电效应

(a) 不同温度下的正巨磁电阻 (b) Sxx-B,(B-磁场)
(c) σxx-B2,(σxx-电导率) (d) Sxx-B2
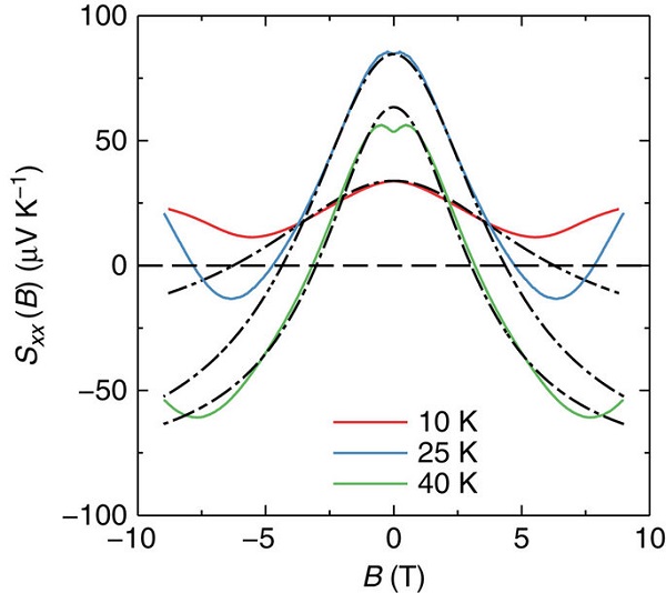
图四、用方程拟合热电势Sxx

不同温度下获得Sxx-B图,进行拟合,点划线为拟合曲线。红线、蓝线、绿线分别在T=10,25,40K下。
【小结】
此次研究主要针对于Cd3As2微片的低温热电性展开。施加不同方向的磁场,在材料中会发现不一样的热电势增长趋势。磁场平行于温度梯度,热电势表现出异常,会随着磁场增加而降低。利用Mott关系,表明所观测到的Weyl费米子异常热电势可用手性异常得到很好的解释。实验结果也证实热电性可作为研究Weyl费米子的一个重要手段,同样也可用于研究其他拓扑材料中。
文献链接:Thermoelectric signature of the chiral anomaly in Cd3As2(Nature Communications,2016,DOI:10.1038/ncomms13013)
本文由材料人编辑部电子电工学术组大黑天供稿,材料牛编辑整理。
材料牛网专注于跟踪材料领域HTH官网地址 及行业进展,这里汇集了各大高校硕博生、一线科研人员以及行业从业者,如果您对于跟踪材料领域HTH官网地址 进展,解读高水平文章或是评述行业有兴趣,点我加入编辑部。
材料人网尊重所有进行知识传播的媒体,转载请联系tougao@cailiaoren.com。





