【引言】
为实现高性能的可穿戴超级电容器,急需一种有利于高孔隙率,优良导电性和优异机械性能可以共同实现的柔性电极。在这里,南京大学孟祥康教授、唐少春教授(共同通讯作者)课题组合理的设计和组装了一种新颖的柔性电极,是由三元金属硫化物在银溅射织物碳布上生长得到纳米管构建的多元三脚架结构复合材料。
【成果简介】
本文报道了一种可穿戴的织物超级电容器,在银溅射织物碳布上生长FeCo2S4– NiCo2S4复合材料合成纳米管构建的多元三角架结构的柔性电极。这种独特的结构具有很高的孔隙率但是却非常坚固,有助于电化学反应中离子和电子的转移;而包覆的银不仅可以促进均相成核,还可以增进复合材料的导电性,也可以提高生长结构和织物之间的表面结合能。受益于这些特点,复合材料电极显示出了很高的比电容,在5mA cm-2电流密度下,比电容可达到1519 Fg-1,电极所组成的对称柔性固态超级电容器能量密度可高达46W h kg-1,同时显示出了良好的循环稳定性,在105mA cm-2电流密度下扫3000圈可以保持92%的电容。
【图文导读】
图1.基底银溅射织物碳布的处理
[注]SSTC:银溅射织物碳布

a)实验服的照片
b)从实验服上剪下的原始碳布照片(左),银溅射处理后的织物碳布(中),硫化后的织物碳布(右)
c)在SSTC上生长FeCo2S4– NiCo2S4的制备过程示意图,下方分别对应各个步骤单个银包覆纤维的表面变化
图2.SEM分析,低倍数TEM分析,X-ray元素分布,SEM-EDS光谱

a-b)SSTC生长前驱纳米线前后的SEM图像
c-e) FeCo2S4– NiCo2S4生长在SSTC上的多元三脚架结构
f)从SSTC上移除的一些管状结构的低倍数TEM图像
g-i)在单个纤维上S,Fe,Ni等不同元素的X-ray元素分布图
j)不同元素原子百分比的SEM-EDS
图3.单个纳米管的高分辨TEM图像,X-ray元素分布,STEM-EDS光谱

a)高倍数TEM图像
b)高分辨率TEM图像
c) 在单个纳米管上S,Fe,Ni等不同元素的HAADF STEM-EDS元素分布图
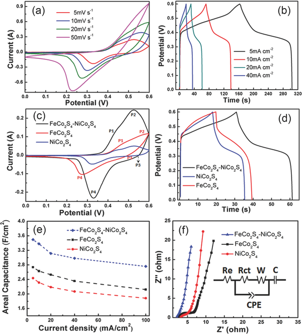
图4. FeCo2S4– NiCo2S4电性能测试分析

a)多扫速下的CV曲线 b)不同电流密度下FeCo2S4- NiCo2S4电极的充放电曲线,在3M KOH电解液中
c-f) FeCo2S4– NiCo2S4复合电极和FeCo2S4电极NiCo2S4电极5mV s-1 CV曲线的对比,20mA cm-2电流密度充放电曲线的对比,不同电流密度比电容的对比以及交流阻抗曲线的对比
图5. FeCo2S4– NiCo2S4组装成对称固态超级电容器示意图及电性能测试分析

a)组装对称固态超级电容器示意图
b)工作电容器中的电子移动示意图
c)不同扫速下的CV曲线
d)对称超级电容器的得充放电曲线,电压窗口为0-1.0V
e)组装成器件和其他报道过的超级电容器的能量比较图
f)在10mA cm-2电流密度下完成3000圈充放电后的电容保持率和库伦效率曲线
图6. 固态器件的组装示意图,电性能测试及实际应用示例

a)固态器件在不同扭曲状态下的照片及示意图
b)固态器件在不同扭曲状态下的CV曲线
c)多个FeCo2S4– NiCo2S4复合电极组装成器件的示意图
d)在1mA放电电流下,不同织物面积的电极材料得到的比电容曲线
e)连接五个超级电容器组装成手带器件得示意图,实物照片以及给移动手机充电示例
原文链接:Wearable High-Performance Supercapacitors Based on Silver-Sputtered Textiles with FeCo2S4–NiCo2S4 Composite Nanotube-Built Multitripod Architectures as Advanced Flexible Electrodes (Adv. Energy Mater. 2016, DOI: 10.1002/aenm.201601234)
本文由材料人编辑部新能源学术组Jane915126供稿,点这里加入材料人的大家庭。参与新能源话题讨论请加入“材料人新能源材料交流群 422065952”,欢迎关注微信公众号,微信搜索“新能源前线”或扫码关注。






