【引言】
对于波和粒子在不同介质中的可控传输是推动现代信息通讯发展的主要动力。在强散射源或者杂质的影响下,波或者粒子在强散射介质中表现出了很多传输特性,例如,局域、隧穿、弹道、扩散型传输等。石墨烯及类石墨烯二维材料的出现为材料设计提供了一种独特的解决方案。
【成果简介】
最近,来自南京大学固体微结构物理国家重点实验室、现代工程与应用科学学院及人工微结构科学与技术协同创新中心的刘晓平教授、卢明辉教授及陈延峰教授(共同通讯)首次实现了一种集成于压电铌酸锂(LiNbO3)基底的新型微结构材料——表面声波类石墨烯。
实验中在压电材料基底上利用电化学方法生长了金属微锥的蜂窝状阵列。每一个金属微锥就可以当作是一个声学振子,这些金属微锥之间的相互作 用形成了表面声子,这些表面声子满足狄拉克方程中所描述的狄拉克表面声子。通过测量表面声波来表征其在这一类石墨烯二维材料中的传输特点。实验结果表明,表面声波会发生扩散,同时可以观察到其ZB效应(Zitterbewegung effects)。
这项工作具有重要的理论意义和实用价值,为开发新型的集成电子器件提供了新的思路,也为研究相关的物理理论提供了新的平台。
【图文导读】
图1 声子石墨烯的表面结构

a,声子石墨烯的结构示意图。表面声子石墨烯带生长在铌酸锂衬底上的Cr-Cu晶种层上,表面声波以60MHz至80MHz的频率沿Z轴方向传播。
b,声子石墨烯的SEM图片。图中蜂窝状的镍金属微柱通过电化学的方法沉积在LiNbO3衬底上。图c是锥状圆柱体的示意图。其高度、底面半径、侧面与底面交角分别为8.90μm,5.35μm和85°。
图2 表面声波的传输特性

a是声子石墨烯沿Γ-K方向的计算分布。
b是实验测得的传输谱图。图中黑色曲线对应的是仅以平面衬底作为参照的表面声波传输,红色曲线对应表面声波沿Γ-K方向的传输。
c是近狄拉克点的等频率线。在K/K’点处,表面声波能量通量存在于二维空间的各个方向。
d是表面声波传输系数和带状样品厚度间的关系曲线。红线对应的入射表面声波频率为71.8MHz,蓝线对应的入射表面声波频率为66.5MHz。右图是这两种传输条件下的模拟弹性能量密度。
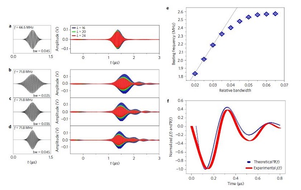
图3 表面声波的时域透射信号

a为偏离狄拉克频率(66.5MHz)的表面声波的时域透射信号。
b-d 是在狄拉克频率为71.8MHz处表面声波的时域透射信号。
e是入射高斯脉冲带宽与共振频率的关系图。当表面声波的激发频率处于狄拉克锥的线性扩散区域中时,共振频率随带宽线性增加,实验误差主要来源于时域测量中的电子约翰逊噪声导致的信号波动。
f是表面声波平均传输速率的理论时域和实验测得的带状样品的表面声波脉冲能量通量的变化率。图中蓝色曲线为理论值,红色曲线为实验值。
文献链接:Surface phononic grapheme (Nat. Mater. , 2016, DOI:10.1038/NMAT4743)
本文由材料人电子电工学术组大城小爱供稿,材料牛整理编辑。
材料牛网专注于跟踪材料领域HTH官网地址 及行业进展,这里汇集了各大高校硕博生、一线科研人员以及行业从业者,如果您对于跟踪材料领域HTH官网地址 进展,解读高水平文章或是评述行业有兴趣,点我加入编辑部。
材料人网尊重所有进行知识传播的媒体,转载请联系tougao@cailiaoren.com。





