【成果简介】
加州理工大学Robert H. Grubbs Harry和 B. Gray等人利用物理交联的高分子网格抑制分子之间的相互作用,制备了无固态负载的均相小分子催化剂,避免催化剂在固态负载上重新分布和连接。溶解在主要基质中的电活性小分子具有高离子导通性内层介质的极性。催化剂里的Re(bpy)(CO)3Cl能够与还原CO2的催化剂相匹配,保证催化剂具有宏观固态性质。
【图文导读】
图一、含有不同基质的离子胶体的伏安循环曲线

空白离子胶体的的循环伏安曲线(黑色),含有14.3 mM二茂铁(Fc)的离子胶体(绿色),含有14.3 mM Fc和15.3 mM CoCp2+的循环伏安曲线(蓝色)。
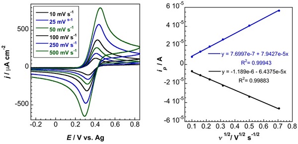
图二、离子胶体里Fc+/0的电化学活性表征

Fc+/0在离子溶胶电解质里面的扫描速率相关性(14.3 mM Fc)
图三、Re(bpy)(CO)3Cl和Fc两种物质对离子胶体的电化学活性的影响

含14.3 mM Re(bpy)(CO)3Cl和5 mM Fc的离子溶胶电解质的循环伏安图像。电压相对于半反应Fc+/0发生了移动。
图四、大气压下,Re(bpy)(CO)3Cl和Fc两种物质对离子胶体的电化学活性的影响

含14.3 mM Fc,在1 atm下离子溶胶电解质的循环伏安曲线(黑色),含5 mM Fc和10 mM Re(bpy)(CO)3Cl 离子溶胶电解质的循环伏安曲线(蓝色),含7.1 mM Fc和14.3 mM Re(bpy)(CO)3Cl离子溶胶电解质在1 atm下的循环伏安曲线(绿色)。
图五、含有Re(bpy)(CO)3Cl和Fc两种物质的离子胶体的控制电势研究

含7.1 mM Fc和14.3 mM Re(bpy)(CO)3Cl离子溶胶电解质在1 atm下的控制电势电解曲线。
【总结】
均相溶液态催化剂和多相固态催化剂的相结合实现了包含了具有液态动力学的电化学响应小分子的固化作用,这种新材料具有通常均相溶液才具有电催化还原CO2特性,与通常的非液态电解质相比,CO2还原电位能够明显地降低。
文献链接:Electrocatalysis of CO2 Reduction in Brush Polymer Ion Gels (JACS,2016,DOI : 10.1021/jacs.6b08795 )
本文由材料人编辑部新能源学术组东海木子李供稿,点这里加入材料人的大家庭。参与新能源话题讨论请加入“材料人新能源材料交流群 422065952”, 欢迎关注微信公众号,微信搜索“新能源前线”或扫码关注。





