【引言】
关于低掺杂的氧化铜超导体的物理性质,如赝能隙、自旋、电荷有序态等与材料超导性之间的影响的争论一直较为激烈。而过掺杂(掺杂量不断增加至超过最优掺杂量)的氧化铜则被认为是更为简单,与费米子物理性质强相关的超导材料,同时也满足传统的Bardeen–Cooper–Schrieffer(BCS)理论。早先几个关于过掺杂样品的研究显示材料的超流密度较预期更低,这主要归因于配对失效,无序及相分离。
【成果简介】
近期,来自布鲁克海文国家实验室的Božović(通讯作者)及其他研究者通过研究La2−xSrxCuO4相图的过掺杂部分,首次进行了关于过掺杂体系中超流密度的可靠性测量,提出材料的磁穿透深度和相硬度主要取决于温度和掺杂量。在成千上万个样品中,研究者对掺杂量精确到百分之一的样品进行磁穿透深度和相硬度绝对值的测定,得到的大数据呈现一个明显的趋势,并显示出材料的固有性质。实验所用到的薄膜是均质的,不同之处在于临界超导温度不同,相互间温度差很小(小于1K)。任意掺杂量材料的相硬度随着温度呈直线下降。零温材料的相硬度与临界超导温度间的关系近直线型,不过稍有偏移;而在原点处近似抛物线型。这些规律却又与BCS理论不相符,仿佛大部分的超导电子消失了。
【图文导读】
图一、合成与表征技术

(a)当薄膜呈现超导性时,Vp相内的实际组分,电压贯穿入拾波线圈(与互感系数成比例)时表现出抗磁性筛选(迈斯纳效应)。内嵌图为实验的简略图示。
(b)Vp的虚部表示,在10×10 mm2的薄膜中,材料的Tc是均匀的,都高于0.1K。
(c)穿透深度λ及复杂的a.c.(v=40kHz)导电性Reσ主要源于复阻抗。
(d)整个研究中样品是基于原子层水平进行设计,LSAO表示LaSrAlO4结构。
图二、超流体与温度和掺杂量相互间的关系图

(a)通过ALL-MBE合成100个最为均质的LSCO薄膜,并测量它们的穿透深度λ,得到λ-T图像。通过红绿虚线连同具颜色的阴影部分进行直观描述。
(b)图示为相硬度ρs-T图像。
(c)过掺杂量最高的样品的ρs(T)图像,测量温度低于0.3K。
(d)Tc与ρs0 ≡ ρs(T → 0)的关系图。通过蓝色小方块来表示实验数据;绿色虚线满足Tc = T0 + αρs0(α = 0.37 ± 0.02,ρs0 > 15 K),红色虚线满足Tc = γ ρs0 (γ = (4.2 ± 0.5) K1/2,ρs0 < 12 K)。
图三、通过ALL-MBE合成的过掺杂的LSCO薄膜为纯超导体

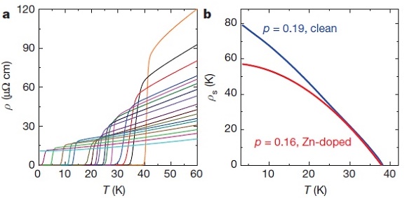
(a)不同掺杂水平下LSCO薄膜的电阻率,自上而下分别为:p = 0.172,0.205,0.211,0.217,0.220,0.224,0.228,0.230,0.233,0.237,0.242,0.245,0.248,0.251,0.254,0.258,0.295。
(b)ρs-T图像。红线表示最优掺杂下的LSCO薄膜(p =0.16),具Zn掺杂,用Zn替代0.5%的Cu。蓝线表示轻微过掺杂的纯LSCO薄膜(p = 0.19)有相匹配的Tc(大约为38K)。纯薄膜的ρs(T)图像近似为线型,而带有Zn掺杂的薄膜配对失效从而使ρs(T)图像呈抛物线型,且Tc降低至25K。
文献链接:Dependence of the critical temperature in overdoped copper oxides on superfluid density(Nature,2016,DOI:10.1038/nature19061)
Nature同期新闻评论:Condensed-matter physics: Superconducting electrons go missing(Nature,2016,DOI:10.1038/536282a)
本文由材料人电子电工学术组大黑天供稿,材料牛整理编译。
材料牛网专注于跟踪材料领域HTH官网地址 及行业进展,这里汇集了各大高校硕博生、一线科研人员以及行业从业者,如果您对于跟踪材料领域HTH官网地址 进展,解读高水平文章或是评述行业有兴趣,点我加入编辑部。






