1、ACS Nano:确定结构的石墨烯纳米带
带隙的缺乏严重地限制了石墨烯在电子工业上的应用,因此研究人员极力想寻找使石墨烯中产生带隙的新方法。将电子约束在一维石墨烯的条带(即石墨烯纳米带,GNRs)中被认为是一种让石墨烯产生带隙的非常有前景的方法。GNRs,与碳纳米管非常相似,根据其边沿的结构可以分为三类:扶手椅型GNRs、“Z”型GNRs,以及手性GNRs。
最近,瑞士伯尔尼大学化学与生物化学系及瑞士联邦材料科学与技术实验室的Roman Fasel(通讯作者)等人采用表面合成的方法,以10,10′-二溴-9,9′-二蒽(DBBA)为前驱体在Cu(111)表面合成了GNRs,并详细报道了其分子结构。作者利用非接触的原子力显微镜揭示了所制备的GNRs的手性本质,而这性质在之前是存在很大的争议的。此外,作者通过对该材料的结构及其催化性能的研究,否定了前驱体偶联选择性是来源于引入的卤代基团的说法。文中的一大亮点是作者通过9,9′-二蒽也可以合成了具有确定手性结构的GNRs,而不仅仅是使用DBBA。
文献链接:Purely Armchair or Partially Chiral: Noncontact Atomic Force Microscopy Characterization of Dibromo-Bianthryl-Based Graphene Nanoribbons Grown on Cu(111)(ACS Nano, 2016, DOI: 10.1021/acsnano.6b04025)
2、Adv. Funct. Mater.:无溶剂组装合成高掺氮量的介孔碳材料

图2 含氮介孔碳材料的电镜图像
向介孔碳材料中掺杂入杂原子已经引起了人们的极大兴趣,这是因为杂原子可调控碳材料的亲水性、电导率、碱度和电荷密度,进而增进或扩展碳材料的应用。其中,氮原子掺杂的研究备受关注,因为掺氮碳材料可作为非常有效的吸附材料,也可作为电池、超级电容器、电催化剂的电极材料。此外,碳材料中氮元素的掺杂也有利于二次掺杂硫、硼、磷和金属元素。
最近,苏州大学吴张雄教授(通讯作者)等人报道了一种无溶剂合成的独特方法来制备高掺氮量的介孔碳材料。文中报道,利用廉价的氨基酸与二氧化硅固体材料进行固固加热反应即可高效得到高掺氮量的介孔碳材料,且其物理化学性质可人为调控。在较高的碳化温度条件下,介孔碳材料中的氮含量仍旧能够维持在较高的水平。该合成过程较为直接,并不需要溶剂、催化剂以及其他的前处理操作步骤。此外,文章也详细地研究了不同氨基酸的性质对其与二氧化硅相互作用的影响、碳化行为、所制备的碳材料的性质等。另外,这些材料在二氧化碳捕获和电催化中的应用研究,显示出其具有非常大的应用前景。
文献链接:Direct Heating Amino Acids with Silica: A Universal Solvent-Free Assembly Approach to Highly Nitrogen-Doped Mesoporous Carbon Materials(Adv. Funct. Mater., 2016, DOI: 10.1002/adfm.201601640)
3、Angew: 尺寸可调聚合物胶束及其在介孔铂纳米粒子合成中的应用

图3 介孔Pt纳米粒子的合成
具有大孔结构的介孔材料已经获得了广泛的应用,这是由于大孔的存在有利于反应物快速有效地传输。而介孔贵金属材料(如金、铂、钯等)具备非常突出的物理性质和化学性质,进而使得这些材料能够成为性能优异的的催化剂。这些催化剂的大孔结构能够强化其对一系列反应(如有机小分子的氧化、氧气还原反应、氢化反应等)的催化性能。
日本国立材料科学研究所的Cuiling Li博士(通讯作者)与Yusuke Yamauchi教授(通讯作者)等人报道了一种尺寸可调的聚合物胶束以及其在大介孔铂纳米粒子合成中的应用。具有连续可调孔径尺寸的铂纳米粒子通过文中介绍的一步法被制备得到。而合成的纳米粒子具有大的孔径,且与有机分子具有比较大的接触面积。文中报道,在该合成方法中,不同的溶剂对于介孔铂的孔径和纳米粒子的形状具有非常重要的影响。相比于商业催化剂,文中制备的催化剂具有超高的电催化氧化甲醇的活性。这种通过聚合物胶束合成介孔金属纳米催化剂的方法为创造下一代金属催化剂提供了额外的设计理念。
文献链接:Tunable-Sized Polymeric Micelles and Their Assembly for the Preparation of Large Mesoporous Platinum Nanoparticles(Angew. Chem. Int. Ed., 2016, DOI: 10.1002/anie.201603967)
4、Nano Letters:吹泡法合成包裹铜纳米线的碳纳米管

图4 包裹铜纳米线的碳纳米管
石墨烯具备优异的机械性能和电学性能。功能化的石墨烯材料的大规模制备及可控合成是其走向实际应用的关键步骤。微量的石墨烯氧化物薄片通过溶液处理的方法,已经能够合成出在能源与环境领域具有应用价值的单片气凝胶。而功能化的石墨烯材料也能够通过调整基质材料的结构和维度来直接合成。
近日,北京大学曹安源教授(通讯作者)等人,利用吹泡法分散铜纳米线,进而采用CVD的方法原位合成出各式各样香肠状的石墨烯纳米管包裹铜纳米线的材料。文中结果显示,相比于裸露的铜纳米线,该材料外层的石墨烯纳米管减缓了内层铜纳米线的氧化过程,并且铜的引入降低了石墨烯纳米管的电阻。通过文中介绍的方法,大规模合成基于石墨烯的异质结构材料得以实现。而所制备的材料在电子设备中具有潜在应用。
文献链接:Blown-Bubble Assembly and in Situ Fabrication of Sausage-like Graphene Nanotubes Containing Copper Nanoblocks(Nano Lett., 2016, DOI: 10.1021/acs. nanolett.6b01490)
5、Nano Letters:酶促控制的纳米晶空穴

图5 酶促控制的纳米晶空穴形成过程
原子尺度上金属的混合会产生独特相态,而这些相态主要取决于原子的本质及其成键特性。而在纳米尺度上,将寡聚核苷酸当做可设计的“化学键”,将纳米粒子当做“原子”,“化学键”与“原子” 可连接成为超点阵(或纳米晶)。之前,大量的研究已经涉及到原子尺度上混合的金属的相态行为,然而在纳米尺度上的“化学键”与“原子” 连接成的纳米晶的相态行为却没有被人们很好地理解。纳米尺度的“化学键”如何影响纳米晶体的相态行为仍旧不清楚。
美国西北大学Chad A. Mirkin教授(通讯作者)和George C. Schaz(通讯作者),及阿贡国家实验室Byeongdu Lee(通讯作者)等人,利用寡聚核苷酸(DNA和RNA)与金纳米粒子进行混合,形成纳米晶,其中寡聚核苷酸起到连接金纳米粒子的作用(类似于化学键将原子连接成纳米粒子,只不过这里是寡聚核苷酸将纳米粒子连接成纳米晶)。通过选择性酶催化水解RNA,纳米晶的结构会不断变化,最终的得到了含有35%随机空穴的超点阵结构。文中介绍,这些空穴是由RNA水解造成其所连接的金纳米粒子的流失而产生的。而在这个过程中,作者发现形成纳米晶的金纳米粒子的性质并没有发生改变。
文献链接:Enzymatically Controlled Vacancies in Nanoparticle Crystals(Nano Lett. , 2016, DOI: 10.1021/acs.nanolett.6b02042)
6、Nano Letters:Zn1−xCoxO纳米粒子的结构亚稳定性及量子限域

图6 不同状态下的 Zn1−xCoxO纳米粒子
因为在铁磁方面的的潜在应用,基于纤锌矿型氧化锌(W-ZnO)的稀磁半导体(DMS)合金在过去几十年被广泛地关注。而在这类材料中,W-Zn1−xCoxO得到了最为全面的研究。W-Zn1−xCoxO的单晶薄片、纳米线以及纳米粒子都已被合成出来,且其光学、磁学等性质也得到了详细的研究。然而,基于W-Zn1−xCoxO的室温铁磁体及其机理的研究仍存在争议。
来自西班牙坎塔布里亚大学R. Martín-Rodríguez教授(通讯作者)等人,通过多种分析手段在一定压力(可高达25 GPa)下详细地研究了纤锌矿型与岩盐型Zn1−xCoxO纳米粒子的结构。作者发现,在不断加压过程中,Zn1−xCoxO纳米粒子出现了不可逆的纤锌矿型到岩盐型的相态转变。在没有完成完全的相态转化时,将压力恢复到常压,该材料处于亚稳态,此时作者发现了量子限域效应的存在。此外,研究表明,相态渐变过程及其亚稳定性是与纳米粒子的粒径分布有关——纳米粒子越大,纤锌矿型到岩盐型的相态转变所需要的压力越低。
文献链接:Structural Metastability and Quantum Confinement in Zn1−xCoxO Nanoparticles(Nano Lett., 2016, DOI: 10.1021/acs.nanolett.6b02230)
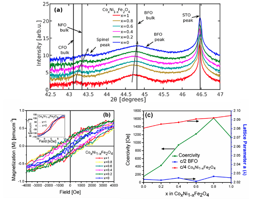
7、ACS Nano:在自组装形成的CoxNi1-xFe2O4/BiFeO3多铁纳米复合材料中产生静磁交换作用
图7 CoxNi1-xFe2O4/BiFeO3多铁纳米复合材料中组分与结构、磁学性质之间的关系
由磁性柱状外延生长嵌入在铁电矩阵中的自组装形成的垂直取向氧化物纳米结构的薄膜作为两相多铁材料(具有室温铁电性)受到广泛研究。研究人员使用微区探针显微镜(通过在两相之间的垂直表面上施加应力,并利用其产生的间接铁电效应)发现在电场辅助下纳米磁性柱体可进行转换。同时模板技术的发展可以控制磁性纳米柱体在44-100、100-200、200-300nm的区域内的具体方位,这样使得该类材料在低能耗、高存储密度以及基于磁性量子元胞记忆器的逻辑设备得到实际应用(包括以纳米柱体之间静态磁性交换为基础的磁性柱体)。因此需要去控制那些可以通过静态磁性交换作用而引起的可逆转变的电场变换和纳米阵列的几何结构。此外,在垂直于纳米复合薄膜方向的静态磁性交换作用可以为人造自旋冰中的未解问题提供电转换系统模型。
来自美国麻省理工学院的Caroline A. Ross教授(通讯作者)等人研究了嵌入在铁电矩阵中的自组装垂直取向纳米氧化复合物(由许多具有静态磁性交换作用的纳米磁性柱体构成)。为了控制材料内部周围的交换场和柱体磁性转换场之间的比例,柱体的组分CoxNi1-xFe2O4比例在0-1之间变化,可以改变铁弹性和磁性晶体的各向异性以及饱和磁化强度。纳米复合材料制备成立方柱体阵列,通过交流退磁后,阵列出现了棋盘化的基态,这也表明体系中出现了静态磁性交换作用。伊辛模型和实验数据结果证实了在破坏相邻反平行结构中出现了变换的场分布效应。
文献链接:Magnetostatic Interactions in Self-Assembled CoxNi1-xFe2O4/BiFeO3 Multiferroic Nanocomposites( ACS Nano, 2016, DOI: 10.1021/acsnano.6b02985 )
8、Nano Letters: 石墨烯基第四主族纳米线的合成制备——以Ge纳米爬虫式结构为例

图8 在石墨烯衬底上生长Ge纳米线和纳米虫状体的具体合成步骤示意图
自石墨烯发现到现在,一种蜂窝状sp2碳原子杂化式结构已经作为催化剂、能量存储、电子器件以及生物分析的重要基体材料而受到了广泛关注。在近些年来,相关研究使用石墨烯材料作为合成高分子、零维材料、一维材料以及二维材料的重要合成平台。面内的一维纳米结构的生长可以选择不同的衬底材料,例如:ZnO纳米线可以在蓝宝石、SiC和GaN表面进行生长;大部分关于其生长机制推测为外延生长或者为制图外延法。近期关于石墨烯基面外纳米线的合成制备有相关研究报道,主要包括Si纳米线、ZnO纳米线以及III−V族的纳米线。然而对于面内的石墨烯基纳米线的研究鲜有报道,此外对于其生长机制的研究需要进一步探究。
来自美国卡耐基梅隆大学的Tzahi Cohen-Karni教授(通讯作者)等人报道了通过调节合成制备过程中的相关物理参数可以控制在单层石墨烯表面上生长Ge纳米线和Ge纳米虫状体材料。这种自下而上的方法可以灵活得改变合成条件从而可以探索在石墨烯衬底上一维半导体纳米线的生长机制。研究人员首先在铜箔上合成出单层石墨烯,随后石墨烯转移至硅衬底上,再进行下一步的纳米线的合成制备。该方案使得对第IV族材料和石墨烯材料之间表面电子学的研究提供了新的思路。
文献链接:Synthesis of Group IV Nanowires on Graphene: The Case of Ge Nanocrawlers ( Nano Letters, 2016, DOI: 10.1021/acs.nanolett.6b02451 )
9、JACS:以块状MnO2为基底的金胶体纳米材料催化剂实现超低温氧化CO气体

图9 (a) 水热法制备的Au/α-MnO2暗场高分辨率扫描电镜图, (b)暗场高分辨率扫描透射电镜图, (c) 明场高分辨率扫描透射电镜图, (d)使用纳米铸造法制备的Au/多孔的β-MnO2高分辨率扫描电镜图和(e,f)高分辨率透射电镜图
负载型纳米金粒子在过去的几十年间由于其在催化反应中表现出来的不同的催化活性及相关特殊性质而受到了广泛研究。在真正的工业生产实际应用过程中,CO的低温氧化反应具有重要的商业价值(例如在电解质膜燃料电池中对于H2中CO的分离、废气的处理以及气体探测)。同时CO的氧化反应也可以作为催化过程机制的研究模型。高度分散在金属氧化物(TiO2、Fe2O3、CeO2、Co3O4、Mn2O3、Mg(OH)2、MgO)基体上并且尺寸在5nm以下的金纳米粒子在低温条件下对CO氧化还原反应具有很高的催化活性。目前只有少数研究报道相关催化反应可以在-70℃进行催化反应。以Mg(OH)2为基底的金纳米团簇体(尺寸在1nm以下)可以在该温度条件下进行催化反应,然而当煅烧处理金纳米催化剂时,金纳米颗粒尺寸会增加到3nm-5nm,从而导致在低温条件下催化性质的丧失。
来自德国马普所的Ferdi Schüth(通讯作者)等人报道了一种负载在MnO2纳米结构的金纳米催化剂材料,该材料具有极高的催化效率,纳米尺寸的金纳米颗粒(2-3nm)负载在α-MnO2和多孔的β-MnO2纳米线阵列,该材料在低温-80℃仍具有较高活性,同时能在25℃催化CO氧化反应70h保持活性不变。并且在低于-80℃催化氧化反应速率达到2.8 molCO·h−1·gAu−1,该速率是目前催化活性最高的Au/Mn2O3 材料的30倍以上。
文献链接:Gold on Different Manganese Oxides: Ultra-Low-Temperature CO Oxidation over Colloidal Gold Supported on Bulk-MnO2 Nanomaterials ( JACS, 2016, DOI: 10.1021/jacs.6b04251 )
该文献汇总由材料人编辑部学术组huaxuehexin、Xu供稿,材料牛编辑整理。
材料牛网专注于跟踪材料领域HTH官网地址 及行业进展,这里汇集了各大高校硕博生、一线科研人员以及行业从业者,如果您对于跟踪材料领域HTH官网地址 进展,解读高水平文章或是评述行业有兴趣,点我加入编辑部。
材料人网尊重所有进行知识传播的媒体,转载请联系tougao@cailiaoren.com






