当前位置: 材料牛 » HTH官网地址 » Nano Letters: 缩放基于石墨烯的长扩散约瑟夫森结中的临界电流

Nano Letters: 缩放基于石墨烯的长扩散约瑟夫森结中的临界电流

摘要:目前,我们通过基于石墨烯的长扩散约瑟夫森结传导测量值。很多结点由化学气相沉积石墨烯单畴晶体组成,接触宽度为0~9nm,但长度变化从400到1000 nm不等。载流子密度通过栅极电压调整,这些结点处的临界电流范围从毫微安到多5μA多,而Thouless能量,ETh,几乎涵盖了2个数量级。在此范围内,临界电流和正常电值的乘积阻ICRN同预期理论相同,即ICRN同ETh线性增长。然而,ICRN同ETh的比值在0.1−0.2间,这远小于预测的10(对于长扩散的SNS结)。

电流可以无损耗流动从常规材料(非超导材料)到超导材料。将石墨烯作为一个正常区域,可创建门既有高电子迁移率又有大的费米速度的可调谐超导器件。因此,清洁设备的超电流可以以微米尺度在弹道传播。然而,允许电流通过扩散石墨烯运输的机制尚不完全清楚。即使在相对一般的样品中,超电流可以穿透超过一微米的通道,但是,临界电流通道长度的依赖性尚未被探索.

来自美国杜克大学的Chung Ting Ke、Gleb Finkelstein等研究人员对(由相同石墨烯组成的)不同长度的约瑟夫森结里ICRN和ETh的关系进行了探索。发现在广泛的临界电流(覆盖超过2个数量级)和密度远离狄拉克点的地方,ICRN确实与ETh成正比。然而,比例系数与预期值10相比被显著抑制。

图文解读:

1

图1 约瑟夫森结显微图像及电流与栅极电压的关系:(a)基于石墨烯的约瑟夫森结装置的光学显微镜图像。在化学气相沉积石墨烯中定义一个9*20μm的活动区域,其中未使用的材料被蚀刻掉。相同宽度但不同长度(400,600,1000,1500,和2000纳米)的约瑟夫森结,是由沉积超导金属接触石墨烯制成。为了形成电阻以便于从电路的其余部分隔离结点,位于远离电极的部分活性区被氧等离子体氧化。只有前三个结点用于这项工作。(b)差动式电阻dv /dl在400纳米交界处测量应用电流和栅极电压。从40到-40 V全背栅通过不同范围电流被分为三个独立映射。超导区域在0电流周围(消失电阻暗区)被观察。电流从负到正偏置扫过。IR,从正常到超导状态(负电流观察)可与IS相媲美且规模较小,IS从超导到正常状态(正电流观察)。(C)在狄拉克点附件放大阻抗映射。

2

图2  RN、IC、ETh、ICRN与VG-VD的关系:(a)正常电阻(b)临界电流(C)计算Thouless能量(d)IC RN产品,从狄拉克点、VG-VD、三处不同长度结点测量栅极电压。在C图里,ETh曲线在DP发散,因为平均密度变为零,而电阻仍为有限值。因此我们忽略了从VG 到DP的7V之间的数据。在这个制度之外,ETh比KBT的五倍还要大,(在文献9中)它允许我们用0℃限制。很明显,c图上三曲线的形状和相对值类似于d组,除了DP附近。

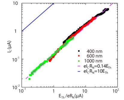
3

图3  IC值与ETh /eRN值的关系曲线:通过IC值与ETh /eRN值标绘三个结点的曲线。显然,IC与ETh /eRN对于三个结点有相同的线性关系且系数相同。然而,在本文讨论中,相对于文献9的理论结果,比例系数被一个因素50-100抑制。蓝线表示预期尺度eICRN≈10ETh,而紫色对应eICRN = 0.14ETh

该成果近期发表在Nano  Letters上,论文链接:Topological Defects at the Graphene/h-BN interface Abnormally Enhance Its Thermal Conductance(Nano  Letters,2016,DOI: 10.1021/acs.nanolett.6b00738)

该文献解读由材料人编辑部于晗投稿,材料牛编辑整理。

材料牛网专注于跟踪材料领域HTH官网地址 及行业进展,这里汇集了各大高校硕博生、一线科研人员以及行业从业者,如果您对于跟踪材料领域HTH官网地址 进展,解读高水平文章或是评述行业有兴趣,点我加入材料人编辑部

未经允许不得转载:材料牛 » Nano Letters: 缩放基于石墨烯的长扩散约瑟夫森结中的临界电流

相关文章

Baidu
map