【研究背景】
长期以来,高熵合金(HEAs)因其独特的化学无序结构,展现出极强的抗辐照性能。通常的解释主要认为这种“原子随机排列”的微观结构能有效促进辐照缺陷的复合,大幅减少材料损伤。
然而,近年来的研究发现,化学无序的作用并非“一成不变”,在NiFe和NiCoCr合金中,辐照响应会因温度不同而发生反转。这表明,化学无序对缺陷行为的影响可能比我们想象的更复杂。更棘手的是,由于多主元固溶体合金(CSAs)中缺陷扩散速度极慢,传统分子动力学(MD)模拟根本无法观测到长时间尺度下的缺陷复合行为,这给研究带来了巨大挑战。
针对这一难题,香港城市大学赵仕俊教授团队采用“加速动力学模拟”(time-stamped force bias Monte Carlo, tfMC),首次系统揭示了不同温度下化学无序如何影响 Frenkel 缺陷的复合行为,为高熵合金的抗辐照优化提供了全新理论指导。研究工作以“Temperature-dependent defect recombination mechanism in concentrated alloys from accelerated dynamics simulations”为题发表在最新一期的材料领域著名期刊Acta Materialia上。第一作者为博士研究生付海军,文章通讯作者为赵仕俊教授。

【文章亮点】
1. 温度调控复合机制:纯镍中高温抑制复合,但合金中低温促进、高温呈现复杂博弈,受化学无序性显著影响。
2. 化学无序的关键作用:低温下合金中倾向形成〈110〉哑铃型间隙子缺陷,有利于远程复合;高温时合金中〈110〉哑铃型间隙子缺陷稳定性增强,削弱了远程复合趋势,而NiFe中因不稳定的含Fe原子型哑铃构型占比增大,作为一种补充的复合机制,使得其在高温下复合半径相对于NiCoCr大。
3. 实验与理论统一:模拟揭示NiFe和NiCoCr复合半径与温度趋势与实验上观察到到的抗辐照性能与温度趋势一致。
【文章图文解析】

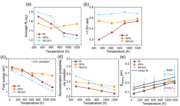
图1. 温度对Ni中Frenkel缺陷复合半径(R0)及哑铃缺陷方向的影响。
图1中展示了纯Ni中复合半径R0分布随温度变化,R0可视为弹性偶极相互作用的范围,因此复合半径会随温度升高而逐渐减小。但温度不仅影响Frenkel缺陷对的远程相互作用,还会改变哑铃构型的稳定性,这两个因素协同影响Frenkel缺陷对的复合机制。

图2. 不同温度下NiFe合金的复合半径R0分布
为揭示化学无序对NiFe合金中复合过程的影响,图2展示了ΔR0随温度的变化趋势。ΔR0定义为Ni(1-x)Fex合金的平均复合半径R0 (NiFe)与纯Ni的R0 (Ni)之差。模拟结果表明,NiFe合金中Fe含量增加和温度升高均会增大ΔR0,从而促进复合过程。Fe的引入会产生两种竞争效应:(1) 溶质-缺陷相互作用会屏蔽间隙原子与空位间的吸引力,抑制长程复合;(2) 处于高能态的哑铃构型形成会促进长程复合。ΔR0的变化取决于哪种效应占主导。

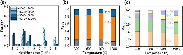
图3. NiCoCr合金中复合行为的特征分布。
在图3中,NiCoCr合金复合前最终稳定位点中〈110〉取向的哑铃结构占比超过60%,成为主导构型,但是这个占比却呈现出弱温度依赖性。

图4. Ni、NiFe和NiCoCr合金复合半径R0及间隙子稳定性随温度变化。
NiCoCr合金在低温下的平均R0大于NiFe合金,但随着温度升高,这一趋势发生逆转。为揭示这一复杂现象的内在机制,图4中对比分析了合金组分化学无序性和温度对哑铃结构稳定性及相互作用强度的影响。
【总结与展望】
该研究结果与高温下NiFe和NiCoCr合金抗辐照性能的逆转现象相吻合。通过阐明长程相互作用、能量稳定性与温度之间的复杂关系,本研究揭示了调控复合过程的微观机制,不仅深化了对Frenkel缺陷对行为的认识,还为设计开发高抗辐照材料提供了理论依据。
文章链接:https://doi.org/10.1016/j.actamat.2025.121066
【课题组介绍】
赵仕俊教授团队近期致力于开发高性能高熵合金、高熵陶瓷、储能材料和能源转化材料等。在计算材料领域,共计发表超过150篇同行评审论文,总引用超8000次。主持多项香港政府资助项目、国家自然科学基金项目、广东省和深圳市自然科学基金项目。
团队长期hth官网注册
计算相关背景的博士生及博士后,并优先考虑具备机器学习背景和较强计算机编程能力的申请者。通过申请的博士生候选人可获得奖学金18700港币每月,特别优秀的学生可以推荐港府奖学金,可达28000港币每月,欢迎优秀学生联系。有意申请者请将以下材料发送至邮箱: shiizhao@cityu.edu.hk
1.Cover letter
2.CV
3.2-3页研究计划
课题组网站:https://www.x-mol.com/groups/Shijun_ZHAO
赵仕俊教授个人主页: Shijun ZHAO – CityUHK Scholars | A Research Hub of Excellence





