当前位置: 材料牛 » HTH官网地址 » SiC在离解氧环境中的氧化特征新发现!北京理工大学&南京航空航天大学&中国空气动力研究与发展中心最新研究成果发表Acta Materialia

SiC在离解氧环境中的氧化特征新发现!北京理工大学&南京航空航天大学&中国空气动力研究与发展中心最新研究成果发表Acta Materialia

      

 

 

一、 【导读】  

 

SiC陶瓷以及碳化硅基复合材料,包括C/SiC和SiC/SiC复合材料,具有优异的抗氧化性能,是重要的热防护材料。它们常作为非烧蚀型热防护材料用于飞行器的鼻锥、前缘等热端部件。这些部件在实际使用过程中,表面气流通过激波压缩或粘性阻滞减速,大量动能转变成热能,气体温度升高并发生能量激发、离解、电离、电子激发等一系列物理化学反应,出现“高温气体效应”。飞行器将面临高温、低压、原子氧环境。而SiC等各种热防护材料可以保护飞行器内部免受严苛的环境的影响,保证飞行器正常工作。如何获得SiC材料在实际飞行过程中的应用极限条件,保证服役过程中的安全至关重要。

 

二、【成果掠影】

北京理工大学王一光课题组、南京航空航天大学易敏课题组、中国空气动力研究与发展中心王国林课题组利用高频等离子体风洞产生离解氧环境,研究了碳化硅在该环境中的氧化行为。在实验中,同时观察到材料表面的二氧化硅的生成和氧化层的厚度减少。采用线性-抛物线曲线拟合实验数据,以区分氧化层的生成和损失过程。通过分子动力学模拟和空气动力学计算,发现SiC的氧化受离解氧扩散通过二氧化硅晶体结构中的通道扩散控制,而表面二氧化硅的损失是由于其升华控制。这些发现为确定飞行器高速飞行过程中的碳化硅材料的失效边界奠定了理论基础。

 、【数据概览】

如下四个状态开展氧化实验

表1 实验状态参数

 

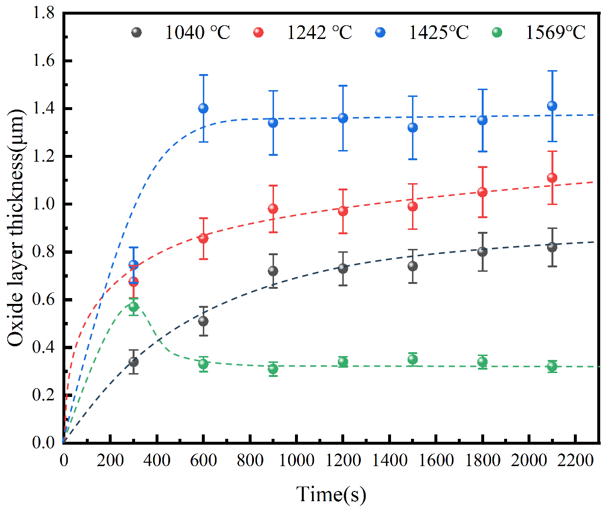
图1 样品表面氧化层厚度统计

图2 整体厚度随氧化时间的变化

 

3 LAMMPS结果:(a) 模拟氧在SiO2中扩散的初始结构模型;(b) SiO2晶体;(c) O原子的扩散轨迹

表4 表面SiO2损失速率计算和实验结果

 

 

图4 SiC在解离氧环境中的氧化机理:(a) SiC氧化过程;(b)原子氧在SiO2晶体中的扩散过程;(c) SiO2的损失过程;(d)氧化物厚度变化示意图。

图5 图形摘要

 

 

五、结论

实验结果证明了SiC在离解氧环境中的氧化特征,并为探索SiC的失效边界以及确定材料的使用极限提供理论和经验支撑。在高频等离子风洞产生的离解氧环境中,SiC表面同时发生氧化生成SiO2和SiO2的损失过程。SiC的氧化遵循抛物线规律,氧原子通过 SiO₂ 晶体内的通道扩散控制着氧化过程。而SiO₂的升华损失则随低压和高温呈线性关系。综合考虑SiC的氧化和SiO₂的损失过程,得出 SiC 的抛物线-线性氧化规律。SiC的氧化是原子氧扩散通过二氧化硅晶体中的通道控制。而SiO2的损失是通过升华生产气相SiO2,扩散到边界层中与原子氧反应生成SiO,而导致表面的氧化层不断损失。在表面没有发生主动氧化的条件下,材料表面的会逐渐达到稳定状态,形成稳定的氧化层,避免材料的迅速失效。

 

 

该研究成果以“Oxidation behavior of SiC in dissociated oxygen environments”为题,发表在《Acta Materialia》期刊上。其中,通讯作者为北京理工大学先进结构技术研究院任科助理教授与王一光教授,南京航空航天大学易敏教授,中国空气动力研究与发展中心王国林研究员;第一作者为北京理工大学博士生陈左政。

 

原文详情:Chen, L. Liu, J. Guo, C. Li, J. Yu, Y. Yin, S. Li, K. Ren, M. Yi, G. Wang, Y. Wang, Oxidation behavior of SiC in dissociated oxygen environments, Acta Materialia 286 (2025) 120745. https://doi.org/10.1016/j.actamat.2025.120745.

 

 

未经允许不得转载:材料牛 » SiC在离解氧环境中的氧化特征新发现!北京理工大学&南京航空航天大学&中国空气动力研究与发展中心最新研究成果发表Acta Materialia

相关文章

Baidu
map