一、【科学背景】
众所周知,由于电子表面散射,铜等传统金属的电阻率在薄膜材料中会增加,从而限制了金属在纳米级电子学中的性能。此外,纳米尺度下的量子效应也会对电子的传输产生影响,例如量子隧穿和局域态密度的变化,进一步加剧了电阻率的升高。高电阻率不仅会导致器件的功耗增加,还会影响信号的传输速度和稳定性。这一现象严重限制了金属在纳米尺度电子器件中的应用潜力。因此,研究人员一直在寻找能够突破这一瓶颈的新材料和新方法。
二、【创新成果】
近期,斯坦福大学Eric Po教授联合韩国亚洲大学Il-Kwon Oh教授在Science上发表了题为“Surface conduction and reduced electrical resistivity in ultrathin noncrystalline NbP semimetal”的论文,报道了一种创新的方法,在相对较低的400℃温度下,通过沉积技术制备了无定形磷化铌(NbP)半金属薄膜,其在超薄尺寸下具有低电阻特性。与传统金属材料相比,NbP作为拓扑半金属,其表面态在拓扑上受到保护,能够有效避免杂质散射,进而增强其电导性。在小于5 nm的薄膜中,室温电阻率(1.5 nm厚的NbP约为34微欧·厘米)比块体NbP薄膜的电阻率低多达六倍,并且低于相同厚度的传统金属(通常约为100微欧·厘米)。通过进一步的分析,研究人员发现NbP薄膜表现出局部纳米晶短程有序的无定形结构,这种结构特性使得表面通道的导电性占主导地位,导致了其在超薄薄膜中的低电阻表现。这一发现不仅为实现低电阻的超薄导体材料提供了新的路径,而且有望在未来的纳米电子学应用中克服常规金属的局限性,为高效能、低功耗的超大规模集成电路提供理论基础和技术支持。


图1 NbP/Nb薄膜堆叠和室温电阻率 © 2025 AAAS

图2 超薄NbP/Nb异质结构的微观结构 © 2025 AAAS

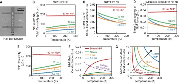
图3 NbP/Nb和NbP的温度依赖性导电 © 2025 AAAS

图4 NbP薄膜的霍尔测量和载流子密度 © 2025 AAAS
三、【科学启迪】
综上,本研究发现无定形NbP薄膜的电阻率随着薄膜厚度的减小而显著降低,这与在大多数常见金属中观察到的趋势相反。在室温下,最薄的薄膜(<5 nm)的电阻率低于厚度相似的传统金属。实验结果表明,厚度小于~18nm的NbP薄膜在室温下主要由表面导电主导,这是薄膜有效电阻率降低的原因。这些薄膜是在相对较低的温度(400°C)下通过大面积溅射沉积制备的,与现代微电子工艺兼容。这些结果为未来高密度电子器件中的低电阻率互连提供了创新性的技术路径。
原文详情:Surface conduction and reduced electrical resistivity in ultrathin noncrystalline NbP semimetal (Science 2025, 387, 62-67)
本文由大兵哥供稿。





