一、【导读】
p型透明氧化物半导体在半导体行业中的重要性不言而喻。近年来,以绝缘性为人所知的TeO2在多篇论文中被当作p型半导体报道,引起了极大的关注,也造成了极大的困惑。例如,墨尔本大学Zavabeti等人将二维b-TeO2报道为高迁移率p型透明半导体 [Nat. Electron. 4 277 (2021)]。然而,其报道的费米能级位于价带顶之上0.9 eV处。根据《半导体物理》基本知识,该费米能级位置意味着零空穴浓度和绝缘特性,与其报道的高空穴浓度相互矛盾。此外,其样品中残留着Se,TeO2本身也极易还原为Te,而Se单质、Te单质及其合金本身就是高迁移率p型半导体。因此,Zavabeti等人在二维b-TeO2样品中观察到的p型半导体行为是源于TeO2自身还是源于其他杂相,成了领域内亟需澄清的科学问题。
二、【成果掠影】
最近,华中HTH官网地址 大学肖泽文教授联合宁波东方理工大学(暂名)魏苏淮教授、邱晨博士和东京科学大学(原名:东京工业大学)细野秀雄(Hideo Hosono)教授,对TeO2可否成为p型半导体这一科学问题进行了研究。他们发现,Te 5s轨道能级非常深,不能有效地与O 2p轨道杂化。因此,TeO2不论以何种形式(α相、β相、g相或二维纳米层)存在,其价带顶都较深,超出了p型掺杂极限。对TeO2中的缺陷计算表明,不论生长条件如何,平衡费米能级始终位于带隙中间区域,表现出恒定的绝缘特性。即使通过外掺杂,也无法使TeO2成为p型半导体。因此,Zavabeti等人在二维b-TeO2样品中观察到的p型半导体行为不是TeO2的内禀性质,而极可能源于其他杂相。
三、【核心创新点】
基于掺杂极限法则,并利用第一性原理计算,澄清了TeO2固有的绝缘特性和p型掺杂的不可能性。由于Te 5s轨道能级较深,不能有效地与O 2p轨道杂化,因此TeO2的价带顶又深又局域,无异于通常的氧化物。
四、【数据概览】
图1 TeO2多形体的晶体结构和能带结构。注意,对于我们熟知的TeO2多形体(α相、β相和g相),Te 5s轨道太深,几乎不与O 2p轨道杂化,从而贡献价带顶。

图2 TeO2多形体和相关氧化物的能带排列。根据经验性的掺杂极限法则,当导带底低于-4 eV时,容易掺成n型;当价带顶高于-6 eV时,容易掺成p型。TeO2多形体的导带底高于-4 eV,价带顶低于-6 eV,意味着其n型掺杂和p型掺杂都很困难,表现出绝缘的电学特性。

图3 β-TeO2块体(a)和单层(b)中本征缺陷的转变能级。不论是块体还是单层,所有本征缺陷的转变能级都在带隙中,缺乏浅施主和浅受主,难以产生有效的n型和p型掺杂。

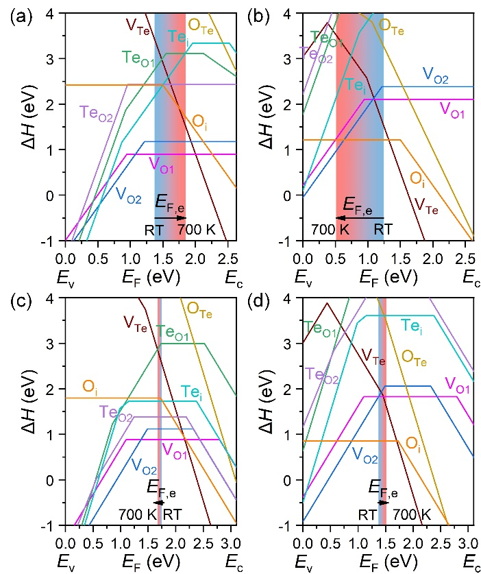
图4 β-TeO2块体(a,b)和单层(c,d)中本征缺陷在富Te(a,c)和富O(b,d)条件下的形成能。不论化学条件和生长温度如何,平衡费米能级位于带隙中间区域,无法产生可观的载流子浓度,表现出绝缘特性。
五、【成果启示】
Zavabeti等人的工作在Nat. Electron. 4 277 (2021) 发表三年有余,尽管后续工作多有与其矛盾之处,但竟无人质疑其结论的正确性。肖泽文等人批判性地看待了TeO2可否成为p型半导体这一科学问题,揭示了TeO2的本征绝缘性以及p型掺杂的困难性(掺杂难,难于上青天),维护了已有的掺杂理论和化学趋势。更重要的是,否定了TeO2作为p型透明半导体的潜力,使科研人员更好地认识TeO2,避免不必要的科研投入。
常言道,“为学患无疑,疑则有进。”科研人员不需要迷信“权威专家”和“权威期刊”,应该时常批判性地阅读文献,在科研中工作要“大胆假设”,更要“小心求证”。
原文详情:
Chin. Phys. Lett. 42, 016103 (2025)
DOI:10.1088/0256-307X/42/1/016103
https://cpl.iphy.ac.cn/en/article/doi/10.1088/0256-307X/42/1/016103
https://iopscience.iop.org/article/10.1088/0256-307X/42/1/016103
本文由肖泽文供稿





