一、【科学背景】
锂硫(Li-S)电池因其卓越的理论能量密度(2600 Wh kg-1)和硫元素的高天然丰度,已成为下一代储能系统最有前景的候选者之一。然而,Li-S电池存在硫利用率低、自放电、容量损失大、循环稳定性差和库仑效率低等问题。这些挑战主要源于放/充电过程中产生的多硫化锂(LiPS)中间体(Li2Sx,4≤x≤8)的溶解和扩散引起的穿梭效应。为了解决这些问题,人们付出了相当大的努力来开发纳米结构的硫主体材料,如杂原子掺杂的碳材料、金属有机框架和金属氧化物,它们通过物理限制或化学吸附将LiPS封装在正极中。然而,这些材料中缺乏活性中心导致LiPS转化缓慢,特别是从可溶性LiPS转化为固体Li2S,这几乎占理论容量的75%,从而导致电化学性能不佳。在锂硫电池中加入高效的电催化剂用于抑制Li-S电池中的穿梭效应是一种有前景的策略。然而,在活性位点被固体放电产物Li2S/Li2S2覆盖后,电催化剂/LiPS界面上的硫氧化还原反应和机制仍需进一步阐明。
二、【创新成果】
基于此,南京理工大学付永胜教授、朱俊武教授联合湘潭大学欧阳晓平院士、瑞士弗里堡大学Ali Coskun教授在Nature Communications发表了题为“Unveiling the autocatalytic growth of Li2S crystals at the solid-liquid interface in lithium-sulfur batteries”的论文,证明了Li2S(100)平面在单原子镍(SANi)电催化剂上对多硫化锂的固有自催化活性。根据理论模型和实验数据,研究人员认为LiPS在Li2S(100)平面上解离成Li2S2和短链LiPS。随后,Li2S2在Li2S(100)表面上进一步锂化为Li2S,生成新的Li2S(100)层,从而能够自催化形成新的Li2S(100)表面。受益于Li2S的自催化生长,电解液中LiPS的浓度保持在较低水平,这使得Li-S电池在高负载和低电解液条件下具有优异的电化学性能。


图1 电催化剂表面择优取向[100]Li2S晶体生长分解过程中自催化转化机理示意图 © 2024 Springer Nature
图2 Li-S电池中Li2S生长的形貌和结构表征 © 2024 Springer Nature

图3 电池中相变的表征 © 2024 Springer Nature

图4 放电/充电至特定状态后正极表面的非原位XPS表征 © 2024 Springer Nature

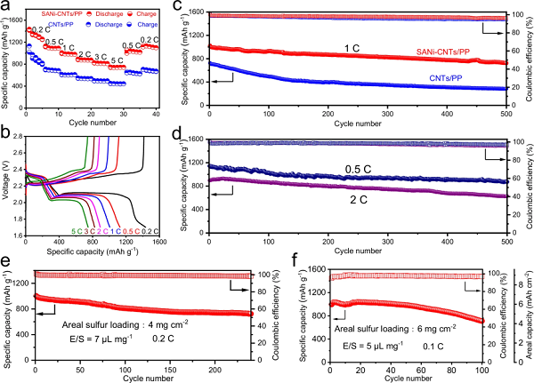
图5 使用SANi-CNTs/PP隔膜的电池电化学性能 © 2024 Springer Nature
三、【科学启迪】
本研究揭示了Li2S(100)的自催化生长机制及其在加速Li2S晶体/LiPS界面处LiPS转化动力学中的作用。电催化剂还被证明在Li2S(100)的优先生长中起着关键作用,为Li2S成核提供了能量有利的界面。带有SANi CNTs/PP隔膜的电池在0.5、1和2 oC下循环500次后,显示出873、723和629 mAh g-1的可逆容量,具有优异的容量保持性。具有超轻SANi CNTs/PP隔膜的软包电池在0.1 C的电流密度下提供了约6 mAh cm-2的高初始放电面积容量。即使在100次循环后,仍可以保持4.2 mAh cm-2的高容量,这证明了SANi CNTs/PP隔膜在实际应用中的潜力。从更广泛的角度来看,这项工作为控制Li-S电池中固-固转化反应的动力学提供了关键的见解。
原文详情:Unveiling the autocatalytic growth of Li2S crystals at the solid-liquid interface in lithium-sulfur batteries (Nat Commun 2024, 15, 9535)
本文由大兵哥供稿。





