当前位置: 材料牛 » HTH官网地址 » 导读 » 英国帝国理工学院最新Nature!!!

英国帝国理工学院最新Nature!!!

一、【科学背景】

聚合物膜在能源存储、分离过程和水处理等领域具有广泛应用。它们在电化学设备(如电解槽、液流电池和燃料电池)中起着关键作用,影响着设备的效率和稳定性。膜的孔结构决定了离子和水的运输能力,通过调节孔的大小和形状,可以实现对离子选择性的控制,从而提高膜的性能。传统的膜设计往往在干燥状态下进行,但在水合状态下,膜的孔结构会发生膨胀和重组,影响离子的传输路径和速率。因此,研究如何在水合状态下调节孔的特性是膜设计的一个重要方向。

二、【创新成果】

近日,英国帝国理工学院宋启磊教授和王安琪博士(现任沙特阿卜杜拉国王HTH官网地址 大学(KAUST)助理教授)团队通过操控聚合物侧链的局部疏水性,成功合成了具有定制孔道尺寸和化学环境的微孔膜。合成的微孔膜具有良好的水合微孔结构,能够有效控制水和离子的运输。这种结构不仅提高了膜的导电性,还增强了离子的选择性,超越了传统商业膜的性能。该设计方法不仅适用于电化学设备,还可以扩展到其他功能材料的开发,针对水处理、资源回收和循环经济等领域的挑战性应用,解决孔膨胀对膜性能的限制。通过合成不同功能化的聚合物变体来实现对膜性能的调控,为未来的膜材料设计提供了新的思路和方法。

1 具有调节孔隙水合的聚合物膜的设计 © 2024 Springer Nature Limited

2 水合过程中孔结构演变的表征 © 2024 Springer Nature Limited

3 水和离子传输 © 2024 Springer Nature Limited

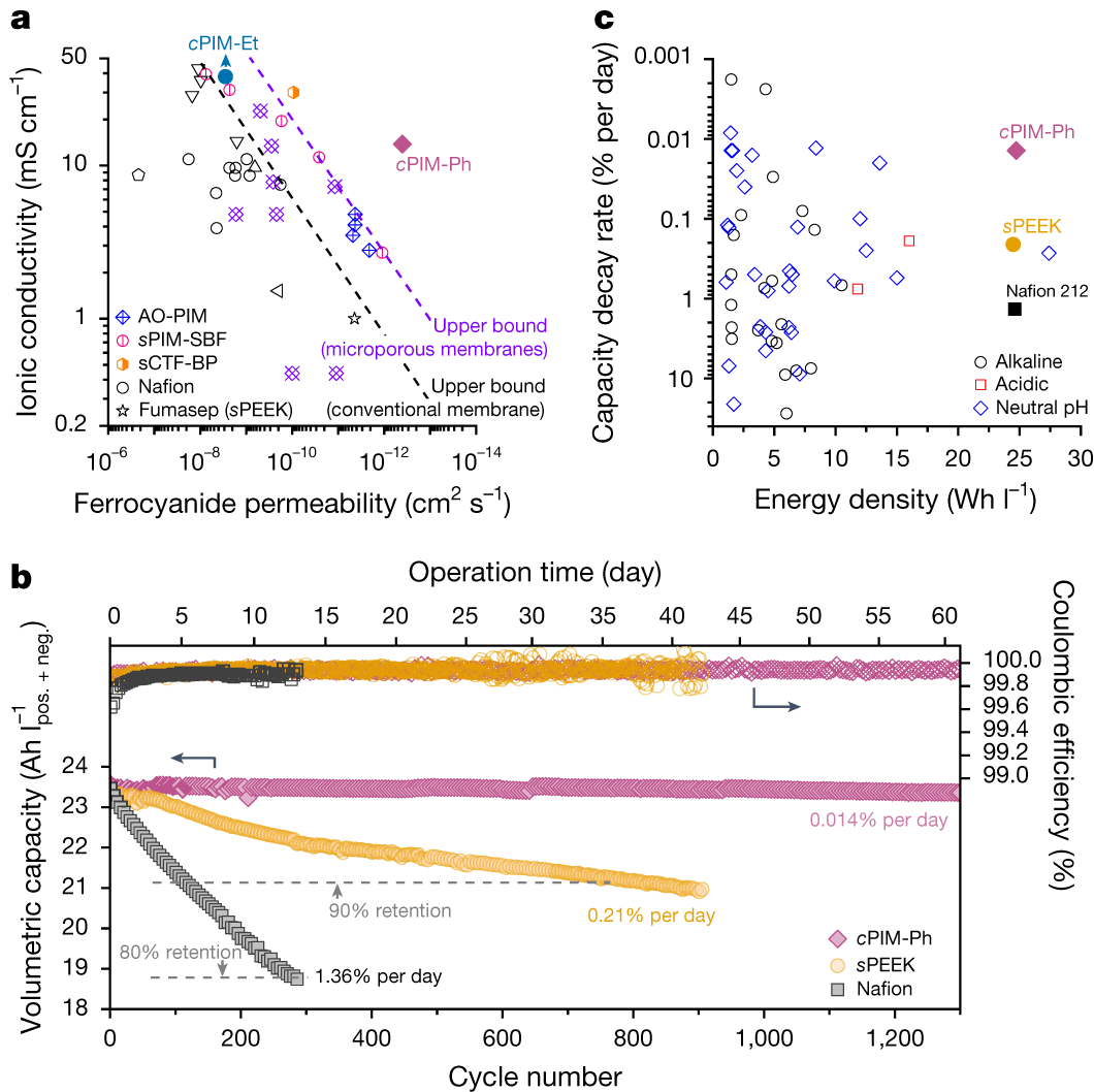
4 液流电池的稳定循环 © 2024 Springer Nature Limited

三、【科学启迪】

该成果通过调节聚合物侧链的疏水性,成功合成了具有特定孔道尺寸和化学环境的微孔膜。这些膜在水和离子运输方面表现出更高的导电性和选择性,优于现有的商业膜和文献中的膜。该设计方法具有广泛的应用潜力,可以用于水处理、资源回收和电池等领域,解决孔膨胀对膜性能的限制。

原文信息:Wang, A., Breakwell, C., Foglia, F. et al. Selective ion transport through hydrated micropores in polymer membranes. Nature (2024).

https://doi.org/10.1038/s41586-024-08140-2

未经允许不得转载:材料牛 » 英国帝国理工学院最新Nature!!!

相关文章

Baidu
map