【导读】
热电转换技术是一种利用半导体材料直接将热能与电能进行相互转换的“绿色”能源技术。热电转换技术凭借其无需传动部件、运行安静、尺寸小、无污染、无磨损、可靠性高等突出优点,在温差发电和固态制冷领域有重要应用。由于热电参数之间的相互耦合使得热电材料ZT值的提升极具挑战。因此,发现电声输运解耦新机制,实现电声输运的协同调控是热电材料性能优化的核心目标和难题。SnTe具有元素无毒、机械性能稳定、低成本等突出优点,有望替代碲化铅,是极具发展前景的一类环境友好型中温热电材料。受制于高热导率和低功率因子,SnTe材料热电性能并不理想,限制了SnTe热电材料的规模应用。优化载流子浓度通常是提高材料热电性能的首要步骤,由于SnTe为轻带半导体,态密度有效质量较小(m*=0.13 me),最优载流子浓度处于1019cm-3。大量的Sn空位导致SnTe本征载流子浓度较高(~1021cm-3),受限于掺杂固溶度,很难优化载流子浓度到最优区间。
【成果掠影】
南京理工大学唐国栋教授团队与亚琛工业大学德国科学院院士Matthias Wuttig教授、余愿博士、曲阜师范大学张永胜教授合作,根据最优载流子浓度与态密度有效质量的关系nopt∝(m*T),提出通过合适掺杂元素导致费米面附近态密度峰来提高态密度有效质量,从而提升最优载流子浓度区间,实现热电性能最大化。
研究团队通过理论计算研究了SnTe化学键和轨道相互作用机制,发现SnTe材料Sn-s 轨道贡献近费米能附近的能级,对电子输运有重要贡献,晶体轨道成键指数表明SnTe材料Sn-s 轨道与Te-p形成反键态贡献费米能级附近L点价带极大值。因此可以通过操控掺杂元素s轨道和Te-p轨道的重叠程度来调控费米能级附近的态密度有效质量,这种重叠程度依赖于轨道能量差与尺寸差。他们通过理论计算高通量筛选几十种元素的轨道能量差与尺寸差,发现Al-s与Te-p轨道的能量和尺寸差接近,Al掺杂能在SnTe费米能级附近导致强的态密度峰,从而提高态密度有效质量,同时提升了最优载流子浓度,使得最优载流子浓度靠近掺杂载流子浓度,加之强态密度峰进一步提升了Seebeck 系数,大幅提升了SnTe材料近室温及宽温域功率因子。同时,借助密集型位错调控SnTe的声子输运过程,使晶格热导率降低至接近理论计算的SnTe材料非晶极限值。该电声协同调控策略使得SnTe材料具有优异室温和宽温域热电性能,其室温ZT值达到0.36,全温区平均ZT达到1.15的记录值。宽温域热电性能的提升有效提高了SnTe器件近室温转换效率,350 K低温差下,17对多腿热电器件的转换效率达到5.4%,优于商业应用Bi2Te3器件的能量转换效率,进一步拓宽了SnTe材料的近室温应用。该研究为优化具有高本征载流子浓度材料热电性能提供了新思路。同时这一基于化学键与轨道相互作用来调控材料热电性能的方法有望为不同类型热电材料性能优化提供重要参考价值。
相关研究成果Interplay between metavalent bonds and dopant orbitals enables the design of SnTe thermoelectrics在线发表于Nature Communications 2024,15,9133上。
【核心创新点】
1.创新性提出通过操控掺杂元素s轨道和Te-p轨道能量与尺寸的重叠程度,导致费米面附近态密度峰来提高态密度有效质量,从而提升最优载流子浓度区间,使得最优载流子浓度靠近掺杂载流子浓度,实现热电性能最大化。
2.发现Al-s与Te-p轨道的能量和尺寸差接近,Al掺杂能在费米能级附近导致强电子态密度峰。
3.在SnTe材料中获得了优异室温和宽温域热电性能,其室温ZT值达到0.36,全温区平均ZT达到1.15的记录值,17对热电器件近室温转换效率达5.4%,优于商业应用Bi2Te3器件的能量转换效率。
【数据概览】
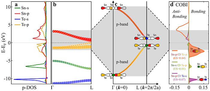
图1 SnTe化学键和轨道相互作用机制
理论计算研究了SnTe化学键和轨道相互作用机制,表明SnTe材料Sn-s轨道贡献近费米能附近的能级,对电子输运有重要贡献,晶体轨道成键指数表明SnTe材料Sn-s轨道与Te-p形成反键态贡献费米能级附近L点价带极大值。
图2 基于轨道能量和尺寸差筛选掺杂元素
较小能量和尺寸差,较大Sn-s与Te-p轨道重叠,费米能级附件有强DOS 峰,黄金矩形区为导致DOS峰最有效掺杂元素的甜点位。由于Al-s与Te-p轨道的能量和尺寸差接近,Al掺杂能在费米能级附近导致强DOS峰。
图3 Sn1.03-x-yAlxSbyTe–z%AgBiTe2的XRD、STEM、三维原子探针表征
具有相同超价键的化合物符合提升了掺杂元素的固溶度,图中掺杂元素在基体中均匀分布,没有观察到析出相。
图4 Sn1.03-x-yAlxSbyTe–z%AgBiTe2的电性能测试,(a)电导率,(b)载流子浓度迁移率,(c) 塞贝克系数, (d)室温塞贝克系数和载流子浓度关系图,不同体系材料塞贝克系数对比及Pisarenko线,(e)态密度有效质量和优化后载流子浓度关系图,(f)功率因子
Al掺杂在SnTe费米能级附近导致强的态密度峰,从而提高态密度有效质量,同时提升了最优载流子浓度,使得最优载流子浓度靠近掺杂载流子浓度,同时强的态密度峰进一步提升了Seebeck系数,大幅提升了SnTe材料室温及宽温域功率因子。
图5 Sn1.03-x-yAlxSbyTe–z%AgBiTe2的热性能测试,(a)总热导率(kT),(b)晶格热导率(kL),(c)kL与相关报道对比,(d)根据Callaway模型计算的kL。
密集型位错结合点缺陷散射声子,将晶格热导率降低至0.32Wm-1K-1,接近理论计算的SnTe材料非晶极限值。
图6 Sn1.03-x-yAlxSbyTe–z%AgBiTe2的微观形貌测试
掺杂元素较大的尺寸差异形成了大量密集型位错,MWH法统计的位错密度达2.9×1015 m-2,密集型位错导致的晶格应变有利于抑制材料晶格热导率。
图7材料热电性能与器件近室温能量转换效率 (a)热电优值(ZT),(b)平均ZT(300-873K) 与有关报道的比较,(c)、(d)简约费米能级与ZT值关系(300K、673 K),(e)17对热电器件近室温能量转换效率,(f) 17对热电器件近室温能量转换效率与有关报道的比较
该电声协同调控策略使得SnTe材料具有优异室温和宽温域热电性能,其室温ZT值达到0.36,全温区平均ZT达到1.15的记录值。宽温域热电性能的提升有效提高了SnTe器件近室温转换效率,350 K低温差下,17对多腿热电器件的转换效率达到5.4%。
【成果启示】
综上所述,该研究为优化具有高本征载流子浓度热电材料体系性能提供了新思路。基于轨道能量差与尺寸差选择掺杂元素,导致费米面附近态密度峰以提升费米能级附近的态密度有效质量,从而提升最优载流子浓度区间,实现热电性能最大化。利用这一方法在SnTe体系获得了优异室温和宽温域热电性能,其室温ZT值达到0.36,全温区平均ZT达到1.15的记录值。SnTe多腿热电器件近室温转换效率显著提升到5.4%,优于商业应用Bi2Te3器件的能量转换效率,进一步拓宽了SnTe材料的近室温应用。为开发高效热电材料与器件提供了重要借鉴。
本文主要内容来源:












