一、 【导读】
瞬态光致发光光谱广泛应用于表征卤化物钙钛矿的载流子复合。但是,曲线衰减背后的数学模型是什么?需要如何设置测试参数?如何扣噪声?如何拟合?目前在学界还没有统一的规范。来自德国于利希研究中心的Thomas Kirchartz教授,颜庚骅博士,袁野博士和Chris Dreessen等人从钙钛矿的载流子和缺陷特性出发,对以上问题进行了深入讨论。

二、【成果掠影】
目前,绝大多数报道的载流子寿命都是通过单指数或多指数拟合光致发光衰减曲线来提取。然而,只有当深能级缺陷主导载流子复合过程时,光致发光衰减曲线才呈现指数形式衰减。而当辐射复合、浅能级缺陷和扩散效应存在时,光致发光强度与时间之间的关系并不表现为指数形式,而是通常呈现出幂律关系。根据Prof. Kirchartz团队2024年一月份发表在Nature Materials上的文章(Nat Mater 23, 391-397),高质量的钙钛矿薄膜内载流子复合通常由浅能级缺陷主导。在本文中,作者采用高光强对不同成分的铅卤钙钛矿进行测试,在足够宽的动态范围内,再次证明光致发光曲线呈现幂律形式衰减,这表明提取出的衰减时间是依赖于载流子浓度和测试时间窗口的。因此,由光致发光衰减曲线提取的单一载流子寿命数值不再适用于量化载流子复合。鉴于此,作者定义了双分子复合系数,提出采用该参数来量化比较载流子复合,以便简化数据分析。研究结果表明,该双分子复合系数与光致发光量子产率存在明显的反比关系,证明了双分子复合系数是表征铅卤钙钛矿中载流子复合的可行的品质因子。此外,为避免对瞬态光致发光数据的误解,作者结合实验和数值模拟研究了测试频率和背底扣除方法对幂律型光致发光衰减数据的影响。最后,作者简要地总结了瞬态光致发光测试和数据分析的工作流程,重点是将实验数据与基于物理模型的解析直接联系起来。详情请见https://space.bilibili.com/3493298343774494/video (文章解读视频链接),https://doi.org/10.1002/aenm.202403279 (文章链接),https://www.nature.com/articles/s41563-023-01771-2 (文章链接)。
三、【核心创新点】
一、基于SRH复合模型讨论不同缺陷类型主导下,载流子浓度变化的影响
文章讨论了深能级缺陷主导和浅能级主导两种情况。在深能级缺陷主导载流子复合的情况下,作者推导出了载流子浓度随时间变化的一般公式。若载流子的SRH寿命较短(即非辐射复合较强), 则, 光致发光强度呈指数衰减;而若载流子SRH寿命较长(即非辐射复合较弱),则, 光致发光强度呈幂律衰减,指数拟合不再适用。在浅能级缺陷主导载流子复合的情况下,同样推导出了的关系,证明光致发光强度与时间是存在幂律关系。
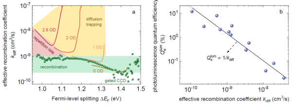
二、提出采用双分子复合系数量化载流子复合
本文作者从实验上观察到不同组分的铅卤钙钛矿的光致发光呈幂律衰减,证明了浅缺陷主导载流子复合是一种普遍现象。因此,载流子寿命(lifetime)不再适用于量化载流子复合。鉴于此,作者定义了双分子复合系数,研究结果表明,该双分子复合系数与光致发光量子产率存在明显的反比相关关系,而后者是普遍认可的表征稳态下载流子复合的参数,因此,双分子复合系数是表征瞬态下载流子复合的可行的品质因子。
三、揭示测试激光频率与背底扣除方式对瞬态光致发光数据解析的影响
在研究中作者发现测试激光频率很少被报道,而激光频率往往限制了可获得的衰减时间,说明激光频率对瞬态光致发光结果的影响在很大程度上被一直忽视。通过元分析,作者发现大部分文献中报道的衰减时间接近于频率的倒数,表明测试采用的频率过高。同时,由于光致发光强度与时间呈幂律关系,因此,在长时间区域,光致发光信号可能被噪音掩盖,难以区分,不合适的背底扣除方式可能会干扰数据分析。作者通过实验数据和数值模拟研究了三种常用背底扣除方式对数据分析的影响,包括尾部减法(tail subtraction), 背底减法(background subtraction)和不扣背底(without subtraction),并给出了选择合适的背底扣除方式的标准。最后,作者提出了瞬态光致发光光谱测试和数据分析的工作流程。
四、【数据概览】

图1 不同缺陷类型主导下的载流子复合机制示意图

图2 不同成分钙钛矿薄膜样品的瞬态光致发光数据分析结果

图3 双分子复合系数计算结果及其与荧光量子产率的关系

图4 衰减时间的元分析结果及测试频率与背底扣除方式对瞬态PL数据的影响

图5 数值模拟比较不同背底扣除方式

图6 瞬态光致发光光谱测试与数据分析工作流程图
五、【成果启示】
作者从理论推导和实验表征证明了铅卤钙钛矿的瞬态PL强度与时间呈幂律关系,而非指数关系。因此,由指数拟合获得的单一数值的“载流子寿命”(lifetime)不再适用于量化载流子复合。鉴于此,作者提出采用双分子复合系数作为量化铅卤钙钛矿的载流子复合的参数并证明了其可行性。为避免对瞬态PL数据的错误的解析,作者详细研究拟合方法、测试激光频率与噪声扣除方式对数据分析的影响,并提出了瞬态光致发光光谱测试和数据分析的工作流程。
原文详情:
Y. Yuan, G. Yan, C. Dreessen, T. Kirchartz. Understanding Power-Law Photoluminescence Decays and Bimolecular Recombination in Lead-Halide Perovskites. Adv. Energy. Mater, 2024, 2403279. https://doi.org/10.1002/aenm.202403279https://doi.org/10.1002/aenm.202403279





