01 导读
氢(H2)作为传统化石燃料的潜在替代品,具备高效、可持续和零碳排放的特性,是解决能源危机和环境污染的关键。在可持续和间歇性能源系统中,氢发挥着不可或缺的作用。基于贵金属如Pt、Ir和Ru的催化剂被认为是最有效的HER(析氢反应)和OER(析氧反应)催化剂。然而,储量极其有限和高昂的成本限制了贵金属催化剂的商业化应用。另一方面,使用不同催化剂分别作为电解槽的阴极和阳极,会遇到相互不兼容的问题,从而导致电解槽效率低。因此,开发在同一介质中具有高活性、低成本且稳定的双功能电催化剂至关重要。
02 成果掠影
重庆HTH官网地址 大学的陆世玉、金梦等人开发了一种新型的原位溶解再沉淀的合成方法,成功合成了含有双阳离子(Cr、Mo)掺杂的少层CoS2纳米片(Cr/Mo-CoS2)。双掺杂引发的强耦合作用和明显的晶格畸变的协同作用,成功优化了催化剂表面上H*和OOH*中间体的吸附,显著提高了Cr/Mo-CoS2在HER和OER过程中的速率控制步骤。纳米片形成的独特松果状结构提供了多个活性位点,促进了电子的转移过程。因此,合成的Cr/Mo-CoS2纳米片表现出卓越的催化活性,该研究证明了双阳离子掺杂诱导的相互作用和显著的晶格畸变在提升过渡金属硫族电催化剂性能方面起关键性作用。
03 图文解析

图1 Cr/Mo-CoS2合成示意图

图2 (a) Cr/Mo-CoS2的XRD谱图;(b-f) Cr/Mo-CoS2、Cr -CoS2、Mo-CoS2和CoS2的Co 2p、Mo 3d、Cr 2p和S 2p的高分辨率XPS谱图

图3 (a-b) Cr/Mo-CoS2的SEM图像;(c-e) Cr/Mo-CoS2的TEM和HRTEM图像;(f) Cr/Mo-CoS2的HAADF- STEM图像和相应的EDS-mapping图像

图4 (a)催化剂的LSV曲线;(b)催化剂在电流密度为10 mA·cm-2和100 mA·cm-2时的过电位;(c) HER催化剂的Tafel斜率曲线;(d) 1 M KOH中 Cr/Mo-CoS2的稳定性测试;(e) Cr/Mo-CoS2与已报道的Co基电催化剂的HER性能比较

图5 Cr/Mo-CoS2和HER反应后的Cr/Mo-CoS2的 (a) Co 2p, (b) Mo 3d, (c) Cr 2p和(d) S 2p XPS光谱图;(e-g) HER反应后Cr/Mo-CoS2的TEM和HRTEM图像;(h) HER反应后Cr/Mo-CoS2的HAADF-STEM图像和相应的EDS-mapping图谱

图6 (a) OER催化剂的LSV曲线;(b) 催化剂在电流密度为50 mA·cm-2和100 mA·cm-2时的过电位;(c) OER催化剂的塔菲尔斜率曲线;(d) 1 M KOH中 Cr/Mo-CoS2的OER稳定性;(e) Cr/Mo-CoS2与已报道的Co基电催化剂OER性能对比

图7 (a-d) OER反应前后Cr/Mo-CoS2、Cr/Mo-CoS2的高分辨率XPS光谱:Co 2p、Mo 3 d、Cr 2p 和S 2p;(e-g) OER反应后Cr/Mo-CoS2的TEM和HRTEM图;(h) OER反应后Cr/Mo-CoS2的HAADF-STEM图像和相应的EDS-mapping图像

图8 (a) Cr/Mo-CoS2(200)表面OER路径图;CoS2和Cr/Mo-CoS2的(b) OER和 (c) HER自由能图 (d) CoS2和Cr/Mo-CoS2的Co反应位点的d带中心图

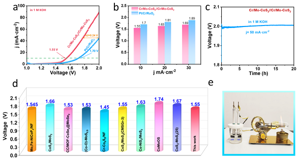
图9在1 M KOH溶液中,Cr/Mo-CoS₂电催化剂作为阴极和阳极组成的双功能全解水器件:(a) 极化曲线;(b) 电压-电流密度对比曲线;(c) 在50 mA·cm-2电流密度下的稳定性;(d) 与已报道的Co基全解水双功能电催化剂性能对比图;(e) 利用火电装置驱动Cr/Mo-CoS₂全解水装置实物照片
文献信息
Lu S Y, Dou W, Wu C, et al. Strong electronic interaction in chromium-molybdenum dual incorporated few-layer cobalt sulfide nanosheets with lattice distortion for efficient bifunctional water splitting. Fuel, 2024, 377: 132780.
https://www.sciencedirect.com/science/article/abs/pii/S001623612401929X
04 作者简介
陆世玉,特聘教授,研究生导师,西南大学博士,北京大学博士后,入选第七届中国科协青年人才托举工程(科协资助,国家青年人才)。研究方向致力于电催化及高效储能关键电极材料的开发和设计,聚焦新能源高效转化和储存材料及机制研究,实现氢能源的高效稳定生产与利用器件及高能量密度离子电池的构建。先后在Nat. Synth.,J. Am. Chem. Soc.(IF=15.419),Adv. Mater.(IF=30.849),Adv. Energy Mater.(IF=29.368),Adv. Funct. Mater.(IF=18.808),Nano Energy(IF=17.881),Appl. Catal. B: Environ.(IF=19.503),Small methods(IF=14.188)等国际顶尖SCI期刊发表论文70余篇,论文被引用3000余次,H10-index为47,申请国家专利30余项,主持国家自然科学基金、中国科协青年人才托举工程、重庆市自然科学基金面上项目等科研项目10余项,担任教育部学位中心研究生论文评审专家,《Carbon Energy》、《物理化学学报》、《Carbon Neutralization》、《Progress in Natural Science: Materials International》期刊青年编委,中国硅酸盐学会,中国材料研究学会,重庆硅酸盐学会会员,获第一届“创青春”中国青年碳中和创新创业大赛全国铜奖(排名第一),西南赛区金奖(排名第一)。
金梦,讲师,硕士生导师,重庆大学博士,清华大学博士后。主要研究方向为MOF材料及其衍生物的可控制备与电催化性能研究;过渡金属催化剂的设计与构建及其电催化生物质转化、有机电合成的研究,在过渡金属纳米电催化剂的可控制备、表界面结构的精准调控及增强电催化性能方面具有丰富的经验。主持/主研科研项目5项,在Advanced Energy Materials (IF=29.368,ESI高被引), Applied Catalysis B:Environmental (IF=19.503,ESI高被引),Small Methods (IF=15.367),Science China-Chemistry (IF=10.138)等国际顶尖SCI期刊发表论文20余篇,申请国家专利20余项,授权6项。





