当前位置: 材料牛 » HTH官网地址 » 双限域策略设计氢缓冲链助力氢溢流-EES

双限域策略设计氢缓冲链助力氢溢流-EES

第一作者:闫原原、杜俊毅

通讯作者:王美玲、王添、吴宇恩、康黎星

通讯单位:太原理工大学、中国科学院苏州纳米技术与纳米仿生研究所、中国科学技术大学、深空探测实验室、华盛顿大学

论文DOI:10.1039/d4ee01858c

 

【全文速览】

“氢溢流”指的是在涉氢催化过程中,表面吸附的氢从富氢相(如金属表面)迁移到缺氢相的过程(如载体)。由于能垒高,氢溢出过程在热力学和动力学上都不利。“溢流”涉及两个方面:首先是“溢”,即克服能垒来转移H*,其次是“流”,即缓解界面迁移能量累积促进氢迁移。其中,“溢”是基础,“流”成为持续H溢出的关键。以往关于H溢流的研究主要集中在解决“溢”问题上,而忽略了因迁移能垒大引起的“流”阻力大的难题。为进一步解决“流”的问题,设计有效的界面氢转运通道来缓解界面H累积,显然有望加速H*连续迁移。Keggin型POMs中氧的多样性使其不仅可锚定金属原子,还可作为氢的理想传输通道。此外,POMs的独特结构还赋予了被锚定金属原子的多级壳层结构(Pt-O-Mo-O……),可以为被锚钉的金属提供丰富的氢转移位点。假如进一步利用多孔碳对POMs进行二级限域,可增强导电性并稳定POMs,同时三维多孔结构可以促进传质。 

负载金属型催化剂的氢溢流效应在促进析氢反应(HER)领域发挥着重要作用,建立一个有效的氢迁移通道来缓解界面氢的持续积累在氢溢流过程中非常需要。基于上述背景,太原理工大学王美玲副教授联合中国科学院苏州纳米技术与纳米仿生研究所康黎星教授、中国科学技术大学吴宇恩教授以及华盛顿大学王添博士后提出利用限域型杂多酸(POMs)中氧的多样性设计多壳层氢缓冲链来促进H溢流。通过将单个铂原子锚定在精准限域的POMs中,构筑了一系列双限域催化剂(Pt1@POMs@PC)。实验和计算共同揭示了H缓冲链(Pt→Obr→O3H→Mo/W→Oc→PCsub-1-nm)的形成,并结合xTB计算证实了H缓冲链的设计在缓冲“流”迁移能垒方面的重要性。本文通过双限域策略设计氢缓冲桥的想法为涉H催化反应提供了全新的促进H溢流的理念,即在保证H溢出的基础上,设计H缓冲链来促进H的迁移(即H的“流”动)。

 

【本文亮点】

“H溢流”涉及两个方面:首先是“溢”,即克服能垒来转移H*,其次是“流”,即缓解界面迁移能量累积促进氢迁移。其中,“溢”是基础,“流”成为持续H溢出的关键。为解决“流”的问题,设计了一条有效的界面氢传输通道,以阻碍氢在界面累积,从而促进 H* 溢流。本文通过双限域策略设计了一条氢缓冲链来助力氢溢流,具体的H溢出路径为Pt→Obr→O3H→Mo/W→Oc→PCsub-1-nm,即从一级限域的Pt单原子到被二级限域的POMs表面丰富的氧位点和金属位点,最后从多孔碳的亚纳米微孔溢出。其中,被限域的POMs由于独特的结构成为有效的H缓冲链。

【创新性】

(1) 提出通用的双限域策略构筑稳定的Pt单原子催化剂。Pt原子稳定的限域在被多孔碳精准限域的四种Keggin型POMs中(Pt1@POMs@PC), 系列催化剂显示出极佳的HER活性。

(2)设计了一条结构明确的用于增强H溢流的H缓冲链。电镜表征、原位拉曼光谱和xTB计算共同证实了H缓冲链在缓解“流”过程中较大迁移能垒方面起的重要作用。

这项工作设计的氢缓冲链为各种涉H反应(如二氧化碳加氢、有机物氢解和储氢)中负载型催化剂的合理设计提供了全新的促进H溢流的理念,将引起催化领域的广泛兴趣。

 

【图文解析】

要点1:双重限域策略的验证 

图1 Pt1@POMs@PC的设计策略与热力学验证(相关动力学验证参看论文附件)

图1揭示了催化剂的构筑过程,并结合热力学/动力学计算验证了双重限域策略稳定Pt单原子的可行性。

要点2:催化剂的形貌与结构

图2 Pt1@POMs@PC的电子显微镜。

要点3:Pt1@POMs@PC的电子结构与局部配位:

图3 Pt1@POMs@PC的光谱表征。

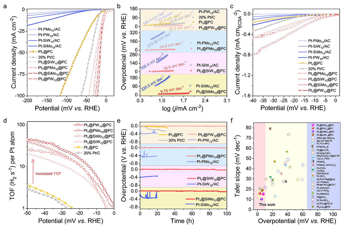
要点4:Pt1@POMs@PC的HER性能测试

图4 HER催化性能。

要点5:氢缓冲效应对Pt1@POMs@PC增强溢出的证据:

图5 关于H溢出的见解。

图5展示了在HER过程中,通过原位拉曼光谱和其它表征方法对Pt1@POMs@PC的反应中间体和动力学的探测。

要点6:理论计算探讨H溢出缓冲机制: 

图6 xTB计算。

图6通过理论计算证明了双限域体系中POMs的H缓冲效应。

 

【总结与展望】

利用双限域策略设计了一系列 Pt1@POMs@PC 催化剂(Pt1@PMo12@PC、Pt1@PW12@PC、Pt1@SiMo12@PC 和 Pt1@SiW12@PC),验证了H 缓冲链在促进 H溢流中发挥的作用。此研究不仅在原子层面上揭示了氢溢出过程,重点强调了氢缓冲链的设计在缓冲氢迁移能垒(即“流”)方面的重要性。

 

【文献信息】

Yan, J. Du, C.Li, J. Yang, Y. Xu, M. Wang, Y. Li, T. Wang, X. Li, X. Zhang, H. Zhou, X. Hong, Y. Wu and L. Kang, Energy Environ. Sci., 2024, DOI: 10.1039/D4EE01858C.

https://pubs.rsc.org/en/content/articlelanding/2024/ee/d4ee01858c

未经允许不得转载:材料牛 » 双限域策略设计氢缓冲链助力氢溢流-EES

相关文章

Baidu
map