成果简介
引言:RFL浸渍改性是能提高聚酯(PET)纤维与橡胶基体界面粘合性能的重要改性手段。然而由于聚酯纤维表面具有化学惰性,且光滑,RFL对PET纤维的改性效果不理想。因此对纤维表面进行预处理,虽然之前的研究中对PET纤维常采用传统处理方法,如:酸/碱刻蚀、高能射线辐照接枝等,但处理过程中反应较难控制,且成本较高,对纤维会造成难以避免的损伤。因此探究一种不损伤纤维的改性方法显得尤为重要。科研人员发现巴胺的强黏附性是由于其含有的羟基与氨基的巨大作用,基于此我们提出了一种类多巴改性方案。
正文
近日,太原理工大学何宏伟副教授在《Surfaces and Interfaces》期刊上发表了题为A dopamine-like deposition coatings on the polyethylene terephthalate fibers and its interface adhesion with rubber的文章。本研究成功设计了一种对纤维具有补强作用且能提高RFL浸渍效果的界面改性方法。通过在纤维表面构建一个类多巴胺的功能化平台,并接枝环氧基团,提高纤维表面粗糙度与活性,同时环氧基团的接枝能使纤维与胶乳中的巯基发生开环结合,从而增强与橡胶的界面粘合。

从改性层构建的影响因素(邻苯二酚(CA)与三乙烯四胺(TETA)的摩尔比例、浸泡处理时间和接枝环氧化合物)对改性工艺做出优化,同时为了证明改性对纤维造成的影响,对改性纤维进行了热学性能、力学性能以及纤维与橡胶基体的粘合性能测试,进一步优化工艺。对邻苯二酚与三乙烯四胺结合接枝环氧化合物的纤维改性机理做出说明,邻苯二酚可被氧化为邻苯二醌,之后由于化学作用(迈克尔加成反应与希夫碱效应)与三乙烯四胺进行结合构建酚胺网络结构层(PCPA)。并通过开环反应在结构层表面接枝环氧基团,增加纤维表面的粗糙度及表面活性。同时图1b表明改性沉积层中的相互作用,如:氢键、离子键、π-π键、阳离子-π键。

图1酚胺沉积层的构建机制及层间相互作用
通过对酚胺(CA/TETA)改性溶液进行紫外分析,探究紫外光照射对酚胺改性溶液的影响。得知酚胺溶液中醌的含量随着时间的延长逐渐增加。同时证明了紫外光照射能加速酚的氧化,促进酚胺反应的发生,如图2所示。

图2 CA/TETA 溶液的紫外可见吸收光谱。(a) 紫外线照射下不同时间的吸光度;(b) 有无紫外线照射(90 min)时 360 纳米波长的吸光度
通过拉伸性能测试,表征改性对纤维力学性能造成的影响,如图3所示,当CA:TETA比例为3:1、1:0时纤维力学性能损失较小,然而CA:TETA比例为3:1时,进一步提升空间较大。PET-PCPA改性增加纤维的断裂伸长率不利于纤维的尺寸稳定性,接枝GTE改变了这种不利现象,同时纤维力学性能相比于未改性提高了13.94%。

图3不同改性因素下纤维的拉伸断裂强力及其载荷-位移曲线:(a)CA/TETA比例;(b)紫外照射下浸泡处理时间;(c)PET、PET-PCPA、PET-PCPA-TGIC、PET-PCPA-GTE;(d) PET、PET-PCPA、PET-PCPA-TGIC、PET-PCPA-GTE载荷-位移曲线
对改性纤维进行XPS表征分析,如图4所示,通过C、O、N元素的含量及相应键的变化,得到纤维表面沉积层成分发生变化,证明了改性工艺过程的逐步变化。


图4改性前后纤维的XPS全谱与C1s谱图(a)PET;(b)PET-CA;(c)PET-PCPA;(d)PET-PCPA-TGIC;(e)PET-PCPA-GTE
通过扫描电镜测试表征了不同改性工艺对纤维表面及其与橡胶基体的剥离状态的影响。PET-PCPA-GTE改性纤维表面具有完整连续的沉积层存在,此时的纤维与橡胶的界面粘合性能最好。利用SEM-EDS对改性纤维表面局部聚集体和改性纤维截面分别进行点扫描分析和线扫描分析,用不存在于纤维中的N元素的含量变化证明了改性沉积层PCPA-GTE的存在,如图5所示。

图5 (a) PET-PCPA-GTE 表面局部聚集体的 SEM 和 EDX 分析;(b) PET-PCPA-GTE的 SEM 图像和N的线扫描剖面图。
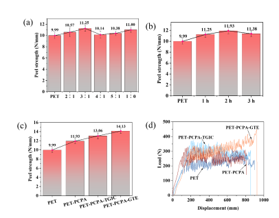
通过改性前后纤维与橡胶基体的剥离强度测试,发现CA:TETA比例为3:1、浸泡处理时间为2 h、PCPA表面接枝GTE时,纤维与橡胶基体的剥离强度最大,达到14.13 N/mm,相比于未改性纤维提高了41.44%,如图6所示。

图6不同改性因素下纤维橡胶复合材料的剥离强度及其载荷-位移曲线(a)CA/TETA比例;(b)紫外照射下浸泡处理时间;(c)PET、PET-PCPA、PET-PCPA-TGIC、PET-PCPA-GTE;(d)PET、PET-PCPA、PET-PCPA-TGIC、PET-PCPA-GTE的载荷-位移曲线
文章第一作者为太原理工大学材料科学与工程学院在读硕士研究生杨泽光,通讯作者为何宏伟副教授。
文章链接:
https://doi.org/10.1016/j.surfin.2024.104485





