1.【科学背景】
热电材料,可以将热能直接转化为电能,由于其快速响应、无直接排放和可回收的特点,已成为一种很有前景的替代能源。热-电能量转换效率(η)主要由材料的热电系数(zT)决定,可以通过 zT= (S2ρ-1/k) T来表示,其中S、ρ、k和T分别为材料的塞贝克系数、电阻率、热导率和绝对温度。多年来,人们提出了多种方法对各种热电材料进行研究,通过抑制k或提高功率因数(PF= S2ρ-1)来获得更高的热电系数。近年来的研究发现,电子能带收敛可以提高材料的功率因数,从而对热电性能产生有益影响,但找到合适的能带收敛组分仍然需要耗费大量时间。
2.【创新成果】
基于以上研究背景,美国休斯顿大学任志锋教授(通讯作者)等人提出了一种新的预测方法,在p型 Zintl 高熵化合物中YbxCa1-xMgyZn2-ySb2设计一系列同时能带收敛的组合物。设计的组合物具有较大的功率因数和较低的热导率,其中一种组合物与其他p型Zintl相材料相比表现出较大的热电值。同时,得到的材料具有很高的热/时间稳定性。组装的全Zintl热电模块,在475开尔文温差下,热电转换效率超过10%。相关研究成果以“Global band convergence design for high-performance thermoelectric power generation in Zintls”为题发表在最新Science期刊上。


图1. p型Zintl材料Yb0.7Ca0.3Mg0.55Zn1.45Sb2的高热电性能。© 2024 AAAS

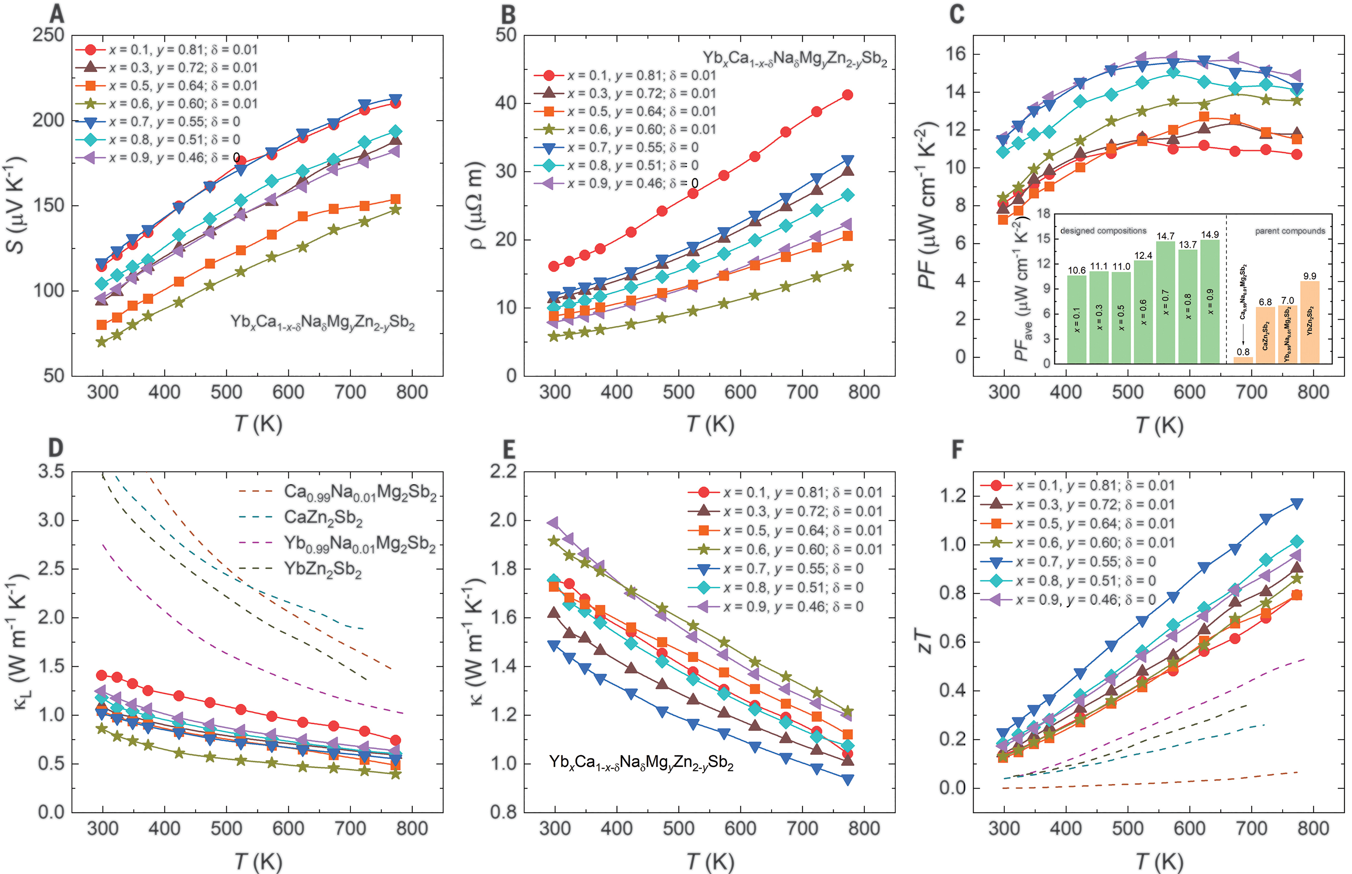
图2.能带收敛高熵合金YbxCa1−x−δ NaδMgyZn2−ySb2的预测热电性能。© 2024 AAAS

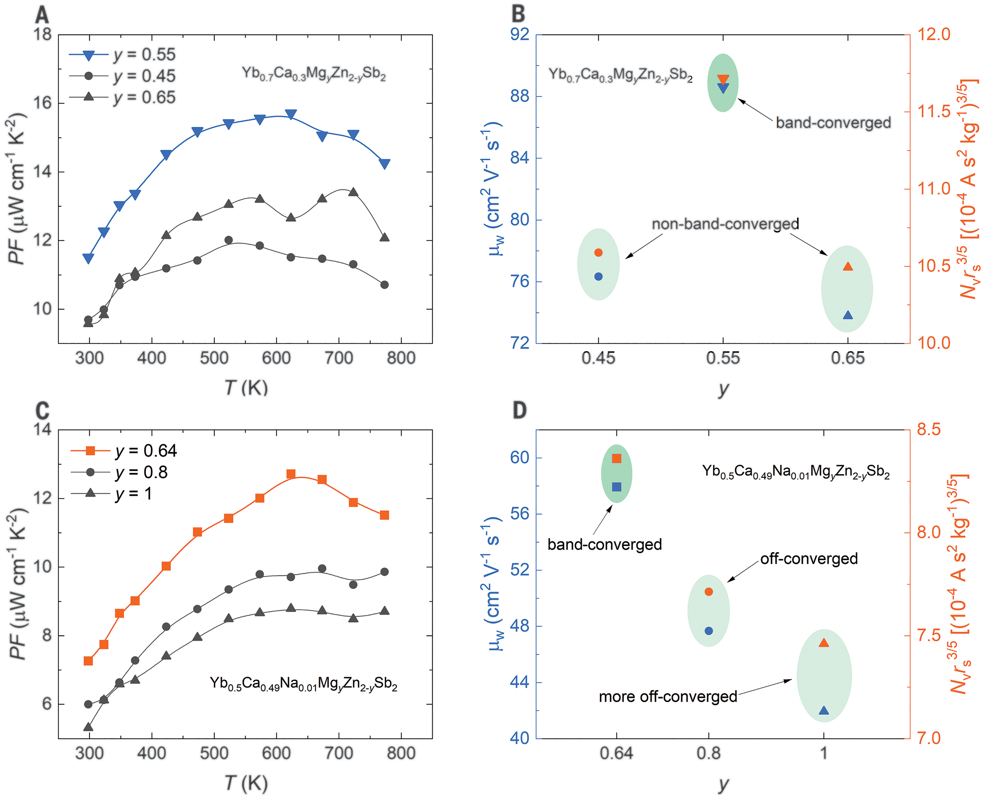
图3. 电子能带收敛的性能指标。© 2024 AAAS

图4. Yb0.7Ca0.3Mg0.55Zn1.45Sb2的热稳定性和时间稳定性。© 2024 AAAS

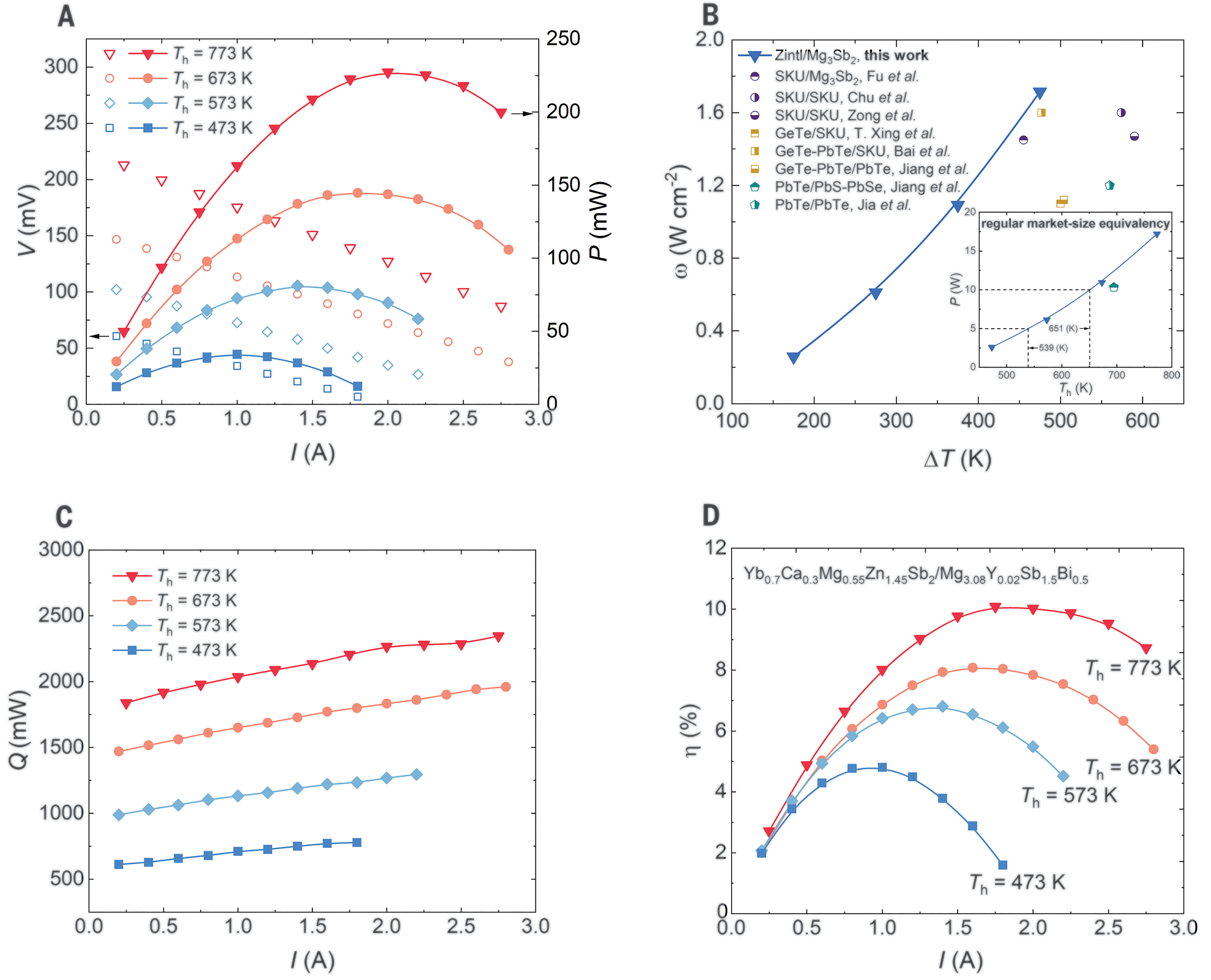
图5. Yb0.7Ca0.3Mg0.55Zn1.45Sb2/Mg3.08Y0.02Sb1.5Bi0.5热电模块的热–电转换性能。© 2024 AAAS
3.【科学启迪】
本研究中,以YbxCa1-xMgyZn2-ySb2高熵合金为例,提出了一种可用于同时设计一系列电子能带收敛组合物的原始方法。得益于能带收敛状态,所设计的组合物比母化合物表现出更大的功率因数。同时,材料的出色稳定性,使其具有很大的商业应用潜力。组装的热电模块,在475开尔文温差下,热电转换效率超过10%,验证了其器件水平上强大的热电性能。更重要的是,无毒性、结构可靠和不含Te的特性,有望使这种材料及其组装的热电模块应用于下一代废热回收和热电发电中。
原文详情:Shi, et al. Global band convergence design for high-performance thermoelectric power generation in Zintls, Science (2024). https://www.science.org/doi/10.1126/science.adn7265。





