面向国家重点领域的关键需求,一些极端环境下温度、应变等信息的原位实时测量,是实现高端武器装备、高性能发动机在极端环境下安全运行的重要监测手段,对提升我国国防实力和国家核心竞争力意义重大。在实际应用中需要强调几个重要的参数,如灵敏度、响应速率、稳定性、量程、小型化和多功能化等。目前已成功商业化的高温应变传感器中,金属应变片由于其抗腐蚀和抗氧化性能较差导致传感器的寿命和稳定性不能满足需求;光纤布拉格光栅应变传感器存在量程小、信号解耦复杂等缺点;SiC电容式应变计可以在腐蚀性环境中较好地工作,但其最高工作温度和应变范围有限,这些不足限制了其在极端环境中的进一步应用。因此,研究能够在高温极端环境下能够同时实现温度和应变测量的小型化传感器充满了挑战。
聚合物先驱体陶瓷(PDCs)具有优异的高温半导体特性、压阻效应、抗氧化和耐腐蚀性能,在微机电系统(MEMS)、微传感器、涂层等领域得到了广泛的应用。同时,基于液态的聚合物前驱体,可以简单、经济地制备具有复杂结构的PDCs。因此,PDCs可能是制造具有优异性能的高温极端环境应变传感器的有力候选者。本文中利用聚合物先驱体SiCN陶瓷制备了多功能、小型化、宽量程的温度应变一体化传感器,利用特殊的结构设计成功解决了温漂效应,实现了高温极端环境下同时对温度和应变的精准测量。

图1. (a) 实验流程图;(b)、(c) 力学仿真和理论计算结果;(d)、(e) 传感器测试平台

如图2、3、4所示,该团队制备了可在室温至1000 ℃温度范围内工作的全致密PDCs应变-温度一体化高温极端环境传感器,具有超快响应速率、高灵敏度和超大量程的应变传感器,测量温度达到1000 ℃。

图2. 室温环境下应变传感器GF、响应速率、量程、循环稳定性等性能测试

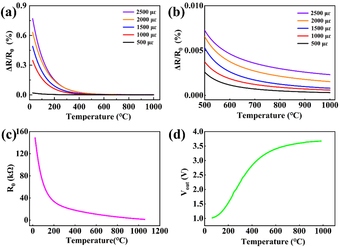
图3. 高温环境下应变传感器高温稳定性、循环稳定性等性能测试

图4温度-应变耦合信号
相关工作以题为“A strain-temperature integrated polymer-derived SiCN ceramic high temperature sensor with wide-range and ultra-short response time”的研究性文章发表在《Advanced Functional Materials》。硕士研究生杨猛猛,马超副研究员为共同第一作者,邵刚教授为论文通讯作者。该研究受到了国家重点研发计划、国家自然科学基金、河南省优秀青年科学家基金、河南省高校HTH官网地址 创新人才支持计划等项目资助。
原文链接:https://doi.org/10.1002/adfm.202400400
作者简介
邵刚,郑州大学材料科学与工程学院教授、博士生导师,国家万人计划青年拔尖人才、国家重点研发计划首席科学家;获中国青少年HTH官网地址 创新奖、中国硅酸盐学会青年HTH官网地址 奖、中原青年拔尖人才、河南省高校HTH官网地址 创新人才以及郑州大学青年拔尖人才;兼任中国硅酸盐学会特种陶瓷分会青年工作委员会副秘书长、中国机械工程学会工程陶瓷分会理事、中国硅酸盐学会测试分会理事、中国硅酸盐学会特种陶瓷分会理事、美国陶瓷学会会员以及Journal of Advanced Ceramics、International Journal of Applied Ceramic Technology等期刊编委。主要研究领域:聚合物先驱体陶瓷、高温极端环境传感器以及场辅助陶瓷制备技术等。主持国家重点研发计划项目、国家自然科学基金(3项)、中央军委装发预研项目、中国航发产学研项目以及河南省优秀青年基金等项目10余项。在Adv. Funct. Mater、J. Mater. Chem. A、ACS Appl. Mater. Inter.、J. Adv. Ceram.、J. Eur. Ceram. Soc.以及J. Am. Ceram. Soc.等期刊上发表SCI论文200余篇,ESI高被引论文7篇,获RSC全球top1%高被引中国学者;获高等学校科学研究优秀成果奖(科学技术)二等奖、中国发明专利银奖、中国建材联合会科学技术一等奖、河南省HTH官网地址 进步二等奖、河南省自然科学二等奖等奖励;参加国内外学术会议20余次,受邀做主旨报告/邀请报告10余次;授权中国发明专利15项,参编高等学校教材1部。





