当前位置: 材料牛 » HTH官网地址 » 导读 » 中科院李舟研究员和孟建平副研究员Mater. Today:多效应耦合增强GaN/BaTiO3异质结自驱动紫外光电探测器,用于超弱紫外线检测和火焰探测

中科院李舟研究员和孟建平副研究员Mater. Today:多效应耦合增强GaN/BaTiO3异质结自驱动紫外光电探测器,用于超弱紫外线检测和火焰探测

一、导读

紫外光电探测器是检测各波长光时不可缺少的一部分,在军事和民用领域中扮演着重要的角色,它广泛应用于紫外成像、紫外通讯、导弹预警、空气/水净化、生化检测、臭氧层监测、森林防火、环境监测等领域。物联网(IoT)技术的进步促使对高性能传感器的应用需求不断增长,自供电异质结传感器因其低功耗和低维护成本的优势受到研究人员的广泛关注。但对弱光的探测能力差一直是限制自驱动紫外光探测器面向实际应用的一大难题,尤其是在火焰探测这类特殊的应用场景中,器件需要对1 nW/cm2以下强度的紫外光有响应。降低暗电流噪声水平和增强光响应是提高光电探测器灵敏度的关键,将多种效应耦合是破解这一难题的有效路径。

二、成果掠影

近日,中国科学院北京纳米能源与系统研究所李舟研究员和孟建平副研究员在Materials Today期刊发表了题为“Multi-effect coupling enhanced self-powered heterojunction ultraviolet photodetector with ultra-low detection limit”的论文。该研究针对GaN薄膜在紫外波段表面反射损失大和光生载流子的表界面复合,光子利用率低,其器件难以对小于1 nW/cm2紫外光实现高响应度和快速回复性能的解耦合等问题。孟建平副研究员提出通过铁电减反射层降低表面反射损失,铁电极化场降低暗态电流和光生载流子的表界面复合,铁电薄膜和GaN的热释光电子效应缩短响应回复时间。制备出的GaN/BaTiO3铁电异质结实现对0.68 nW/cm2超弱紫外光高响应度和快速响应回复的解耦合, 并进行火焰探测验证。通过在GaN表面制备20 nm厚去向生长的BaTiO3薄膜实现减反射效应,显著降低了入射光的在GaN表面反射损失。同时,铁电薄膜的剩余极化场调控异质结势垒高度可以有效抑制暗态电流至5 pA,提高了器件的最小检测限。极化后铁电薄膜的热释光电子效应显著增强,提高了器件的响应度和响应速度。器件对0.68 nW/cm2紫外光的响应度为46.631 mA/W,比探测率为3.901×1013 Jones,响应回复时间为18/13 ms。

三、核心创新点

1.通过耦合减反射效应、铁电极化和热释光电子效应协同提升了紫外光电探测器的性能,对入射光功率密度为0.68 nW/cm2的超弱紫外线实现高灵敏快速探测。

2.深入探究了铁电极化场对异质结的势垒调控作用,通过提高异质结处的能垒而降低暗电流(热噪声)。

3.无封装器件经过6个月的后仍展现出对火焰的灵敏探测能力,保持稳定的光电流信号,可用于长期远程火情监控。

四、数据概览

图1.通过耦合铁电计划场、减反射效应和热释光电子效应耦合增强自驱动紫外光电探测器用于火焰探测的示意图。

图2. BaTiO3薄膜的制备和表征。(a)GaN衬底上生长的BaTiO3薄膜的部分放大XRD图;(b)GaN衬底上生长的BaTiO3薄膜横截面的HRTEM图像,插图为四方相晶粒的放大图;(c)在非晶SiO2衬底上生长的BaTiO3薄膜的吸收光谱,插图为通过Tauc Plot方法得到的(ahn)2-hn关系曲线;(d)BaTiO3薄膜的XPS谱;(e)GaN衬底上生长的BaTiO3薄膜的相位/幅度-电压函数图;(f)GaN/BaTiO3薄膜表面反射率的实验值和拟合值。

图3. 器件结构和光电性能表征。(a)器件结构示意图;(b)i .非极化器件示意图(箭头代表BaTiO3薄膜内的铁电畴);ii 极化器件示意图;iii 暗态和光照条件下极化前后器件的I-V曲线;(c)不同光照条件下极化器件的I-t特性;(d)本工作与其他自供电紫外光电探测器的检测限比较。

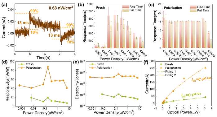
图4. 器件的光电响应性能分析。(a)0.68 nW/cm2入射光下,器件单个光电信号的脉冲时间响应分析;器件在(b)fresh状态和(c)polarization状态下的响应回复时间;器件在fresh状态和polarization状态下的(d)响应度、(e)比探测率和(f)光电流峰值与光功率的关系。

图5. 器件的能带结构。(a)接触前Ag、BaTiO3、GaN、In的能带排列;(b)i 极化前和ii极化后GaN/BaTiO3异质结在暗态条件下的能带排列;iii 325 nm紫外光下极化后GaN/BaTiO3异质结的能带排列。

图6. 器件在火焰探测中的应用。(a)i 应用演示中使用的实验设备,插图为器件的光学图像;ii 暗态条件下器件的暗电流数据;(b)i 点燃的酒精灯向器件表面发射紫外线,插图显示了器件前面用于阻挡热量的非晶SiO2玻璃板;ii 火焰探测装置获得的光电信号;(c)火焰探测和报警系统示意图。

五、成果启示

本论文提出了一种具有极低检测限的GaN/BaTiO3异质结型自驱动紫外光电探测器,可用于火焰探测和火灾预警。通过光学设计对BaTiO3薄膜的厚度进行了优化拟合,使得器件表面对325 nm入射光的反射率由21%降低到12%,减少了入射光的表面反射损失。高压极化后的BaTiO3薄膜具有增强的剩余极化场,有效抑制了器件的暗电流,提高了器件对弱光的探测能力。同时,极化后器件的热释光电子效应显著增强,所产生的热释电电流峰值随之变大,提高了器件的响应度和响应速度。极化后的器件可在0偏压下稳定检测0.68 nW/cm2的超弱紫外光,上升时间和下降时间低至18 ms和13 ms。器件的最大响应度和比探测率分别为88.206 mA/W和7.392×1013 Jones,较极化前的器件提高了359%和6065%。具有超弱紫外光探测能力的GaN/BaTiO3异质结光电探测器在火灾预警、紫外制导和环境监测等领域具有广阔的应用潜力。

文献链接:

Mengji Dong, Xuemei Zheng, Qi Li, Yanli Liu, Xuan Di, Jianping Meng*, Zhou Li*. Multi-effect coupling enhanced self-powered heterojunction ultraviolet photodetector with ultra-low detection limit. Materials Today, 2024, https://doi.org/10.1016/j.mattod.2024.03.004

未经允许不得转载:材料牛 » 中科院李舟研究员和孟建平副研究员Mater. Today:多效应耦合增强GaN/BaTiO3异质结自驱动紫外光电探测器,用于超弱紫外线检测和火焰探测

相关文章

Baidu
map