01导读
质子交换膜燃料电池(PEMFCs)由于其具有零碳排放和高能量转换效率的特点而备受青睐。在氧还原反应(ORR)中,以四电子转移机理为主的铂基催化剂表现出高动力学活性。然而,由于铂高昂的成本和资源稀缺,PEMFCs的大规模商业化应用仍面临严峻挑战。
将铂与过渡金属(Fe、Co、Ni等)合金化是减少贵金属用量并提高其ORR性能的有效策略。然而,在酸性或腐蚀性环境中进行加速老化试验时,过渡金属通常会从合金中浸出或溶解,从而极大制约了膜电极的耐受性。与 Fe2+/Fe (-0.5 V)、Co2+/Co (-0.2 V) 和 Ni2+/Ni (0.1 V) 相比,Cu2+/Cu 具有更正的电位(0.3 V,相比可逆氢电极 (RHE) ),这表明铜在相同电化学条件下具有更优异的稳定性和抗溶解性,因此铜是铂基合金更理想的候选材料。
另一方面,在应变效应和配体效应作用下,过渡金属可通过优化铂的电子结构来调节含氧中间物种的吸附强度,从而提高铂基合金催化剂的电催化性能。当具有不同晶格参数的两种元素直接接触产生的晶格失配现象,会导致各晶体成分发生晶格畸变。在应变效应作用下,会使得金属的 d 带中心更接近费米能级,进而优化催化剂表面对于氧分子的吸附能,提高金属表面的反应活性。此外,在PEMFCs实际工况下,当铂基催化剂在电极电势>0.85 V和pH<2时,零价铂会自发的发生氧化反应形成二价铂离子导致铂纳米颗粒快速溶解或消失,造成不可避免的电化学活性比表面积和半波电位的急剧衰减。因此,开发同时具备高活性和高稳定性的铂基合金催化剂是PEMFCs领域中最有效的手段,但目前仍具有很大挑战。
02成果掠影
重庆HTH官网地址 大学张均、陆世玉提出了一种压缩应变和抗氧化协同兼顾提升铂铜合金催化剂氧还原活性和稳定性的策略。通过在铂晶格中引入铜原子,诱导铂晶格产生压缩应变,调控铂活性位的d带中心,进而优化铂铜合金(111)晶面对氧气分子的吸附。此外,铜原子作为牺牲阳极在 PEMFC 运行过程中优先发生氧化,氧化的铜可以很好的保护Pt(0)活性位,从而提升了整体铂铜合金催化剂的稳定性。
这项工作充分验证了压缩应变和抗氧化协同机制在兼顾增强铂铜合金催化剂氧还原反应活性和稳定性方面的价值,为燃料电池的商业化进程提供了理论和实验基础。
03图文解析
图 1 (a) PtCu/N-HCS 催化剂的制备示意图;(b-d)Pt0.38Cu0.62/N-HCS的TEM图及其(f)点缺陷、(g)线缺陷(边缘位错)和(h)平面缺陷(小角度晶界);(i-m)Pt0.38Cu0.62/N-HCS的HAADF-STEM图像和元素mapping图。
图2 (a) Pt0.38Cu0.62/N-HCS、Pt/N-HCS、Pt0.38Cu0.62/HCS催化剂 的XRD谱图;(b, c, e, f)商业Pt/C、Pt0.38Cu0.62/N-HCS、Pt/N-HCS 和Pt0.38Cu0.62/HCS催化剂的Pt 4f XPS谱图;(d)Pt0.38Cu0.62/N-HCS、Pt0.38Cu0.62/HCS催化剂的Cu 2p XPS谱图。
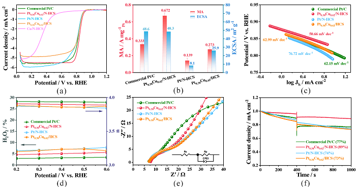
图3 (a) 商业 Pt/C、Pt0.38Cu0.62/N-HCS、Pt/N-HCS 和 Pt0.38Cu0.62/HCS 催化剂在0.1 M HClO4溶液中的LSV曲线、 (b)质量活性(MA) 和 ECSA、(c)Tafel 图、(d) 电子转移数和 H2O2 产率、(e) 电化学阻抗谱和(f) 抗甲醇渗透性能。
图4 (a)Pt(111)、(b)Cu(111)和(c)PtCu(111)晶面上O2的电荷密度差分图,其中黄色和蓝绿色区域分别表示电子的积累和耗尽;(d) Cu (111)、Pt (111) 和 PtCu (111) d 带中心的 PDOS图;(e) Cu (111)、Pt (111) 和 PtCu (111) d 带中心与 O2 吸附能的相关性; (f) 在PtCu (111) 上各吸附中间体(*OOH、*O、*OH)能量最优的氧还原反应路径;(g) 电极电位为零时,Cu (111)、Pt (111) 和 PtCu (111) 上发生氧还原反应时吉布斯自由能变化图。
图5 (a) Pt0.38Cu0.62/N-HCS与商业Pt/C催化剂在加速老化测试前后的 LSV 曲线;(b) Pt0.38Cu0.62/N-HCS 在稳定性测试前、后的Pt 4f XPS谱图、(c) Cu 2p XPS谱图、(d) N 1s XPS谱图;(e-g) Pt0.38Cu0.62/N-HCS 在加速老化测试后的TEM图和HR-TEM图、(h-m) HAADF-STEM 图和元素mapping图。
图6 Pt0.38Cu0.62/N-HCS 催化剂增强 ORR活性和稳定性的机理。
文献信息
Jun Zhanga,*, Pingjuan Liangb, Xinlan Xub, Rong Wanga, Shuyue Liua, Chunyuan Wangb, Boyu Liub, Laizheng Luoc, Meng Jina, Huan Liud, Huan Yib, Shi-Yu Lua,*. Synergy of compress strain and antioxidant of platinum-copper for enhanced the oxygen reduction performance[J]. Nano Materials Science 2024.
DOI:org/10.1016/j.nanoms.2024.02.011
https://doi.org/10.1016/j.nanoms.2024.02.011
04作者简介
张均,博士/博士后,讲师,研究生导师,主要从事先进燃料电池催化剂及器件和持久性工业有机废水污染治理等方面的研究工作。主持中国博士后科学基金资助项目、重庆市博士后科学基金特别资助项目等省部级科研项目和横向项目7项,获授权发明专利2件,在Chem. Eng. J.、Chin. Chem. Lett.、Fuel、Inorg. Chem. Front.、J. Power Sources、Mater. Today Chem.、Appl. Surf. Sci.等期刊发表学术论文30余篇。指导硕士研究生和本科生获批国家级/省部级/校级HTH官网地址 创新训练项目13项。主持重庆市教研教改项目1项,并建设校级课程思政示范课、一流课程、应用型特色课程3项。
陆世玉,博士/博士后,特聘教授,研究生导师,入选第七届中国科协青年人才托举工程(科协资助,国家青年人才)。研究方向致力于电催化及高效储能关键电极材料的开发和设计,聚焦新能源高效转化和储存材料及机制研究,实现氢能源的高效稳定生产与利用器件及高能量密度离子电池的构建。先后在Nat. Synth.,J. Am. Chem. Soc.(IF=15.419),Adv. Mater.(IF=30.849),Adv. Energy Mater.(IF=29.368),Adv. Funct. Mater.(IF=18.808),Nano Energy(IF=17.881),Appl. Catal. B: Environ.(IF=19.503),Small methods(IF=14.188)等国际顶尖SCI期刊发表论文60余篇,论文被引用2500余次,H10-index为44,申请国家专利30余项,主持国家级、省部级科研项目4项,完成产业化合作项目2项,担任《Carbon Energy》、《物理化学学报》等期刊青年编委,获第一届“创青春”中国青年碳中和创新创业大赛全国铜奖(排名第一),西南赛区金奖(排名第一)。











