香港城市大学李扬扬教授和吕坚院士团队最新在Science Advances上发表文章探讨一项可能的仿生矿化策略:通过施压来控制无定形陶瓷的水合状态及后续的晶化行为。该研究揭示了,在生物兼容条件下,混合多种普通盐溶液可轻易获得无定形矿物凝胶,对该凝胶的进一步施压处理可得到透明生物陶瓷块体,而其水合状态及后续结晶相变行为可通过所加压强精细调节。该研究为科学家们探索生物矿化背后的奥秘提供了新的线索。

背景:
生命体在温和条件下构建矿物结构(如颗石藻、珊瑚、骨骼),展现出卓越的材料控制能力。科学家发现生物源矿物普遍存在无定形水合前驱体,如无脊椎动物中的无定形碳酸钙和脊椎动物中的无定形磷酸钙。同时,前期研究注意到生物陶瓷的水合状态可影响其结晶行为、力学性能、光学性质等,而同一类生物陶瓷(如碳酸钙)在自然界中也存在着各种各样丰富多彩的水合状态。与此形成强烈对比的是,在实验室中,科学家们通常仅可通过加热来控制陶瓷中的整体含水量,而极难对其水合状态做精细的调节。那么,生命是如何在温和的水环境中调节其陶瓷的水合状态呢?
成果:
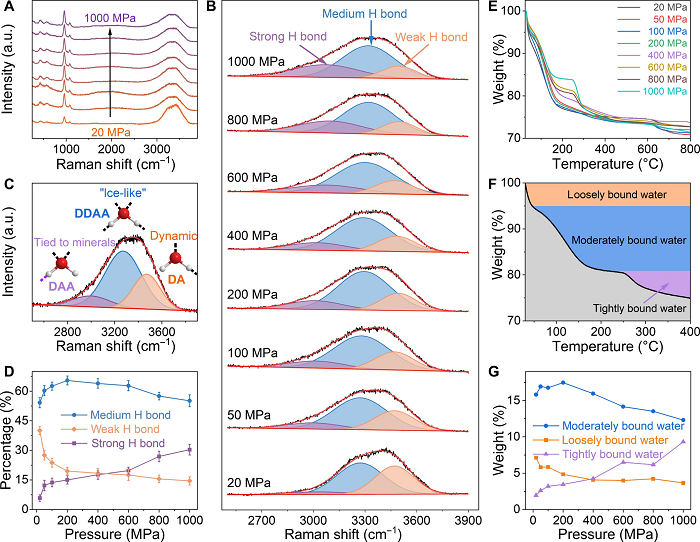
基于研究团队前期工作,采用细胞中常见的无机盐离子,如Ca2+、Mg2+、CO32-和HPO42-,合成了纯无机凝胶(PIG),通过加压直接在常温水环境中将PIG一步制成具高机械强度的透明陶瓷块体。本工作进一步阐明所加压强的大小决定了陶瓷块体的水合特性和后续晶化行为;且发现有序结合水是促进晶化的关键因素。相对较低(≤20 MPa)或较高(≥1000 MPa)的压强会导致较稳定的非晶态(可稳定超过28天),而中等压强则导致较快结晶,其中200 MPa导致最快的结晶速度(7天内开始结晶)。 随着压强的增加,陶瓷中紧密结合水含量增加,松散结合水含量减少;有趣的是,中等结合水含量先升后降,在200 MPa时达到顶峰。这可能是由于中等结合水结构较有序,可作为离子成核的模板,而其相对较大的比体积,可更容易地容纳离子迁移和晶化过程中的结构重排。
特别需要指出的是,PIG是一大类极其丰富的矿物凝胶材料,化学成分高度可调,这样就为后续的水合和结晶性质带来几乎无穷无尽的可能性。仅以本工作的体系为例:通过调整Ca2+、Mg2+、CO32-和HPO42-的组成可获得不同PIG凝胶,再通过施压处理,进而可以调结晶化的速度、及得到各种不同的生物陶瓷(包括方解石,磷酸钙,磷酸镁等)。另外一个显著的优势是,PIG展现出极高的无定形稳定性,可以在湿润情况下常温下保持至少数月,及耐受高温直至碳酸盐分解。以PIG为前驱体,可以直接一步合成可调控水合特性的生物陶瓷。相对于传统的无定形前驱体材料如无定形碳酸钙,PIG的应用免去了干燥及在较苛刻条件下保存的需要(传统上需要有机溶剂、真空及低温),而且规避了通过高温脱水来调控水含量的麻烦,大大提高了制备方法的生物兼容性。另外,值得一提的是,虽然本工作所用到的压强范围(≤ 1 GPa)较大,但如作用在微纳尺度,所需压力实则非常迷你。考虑到生物体中的矿物通常由纳米颗粒堆叠而成,生命也许仅需很小压力即可完成生物矿化工程。
科学意义:
探索如何在温和水环境中实现陶瓷的融合、水合、相变等性质具有深远意义,不仅对生物矿化的研究有所启发,也可为材料科学和环境科学提供新的研究方向和应用可能。首先,这种研究可以帮助我们更深入地理解生物矿化过程,即生物体如颗石藻、珊瑚和骨骼等形成其复杂、精细结构的方式。有助于更好地理解生物体是如何通过调节水合状态来影响其陶瓷结构的结晶相变、力学性能及光学性质等。其次,这类研究也可为材料科学提供新的启示。目前,实验室中陶瓷的制备通常需要高温,且很难精细地调节陶瓷的水合状态。如果科学家们可以理解掌握如何在温和条件下调节陶瓷水合状态及控制其融合、相变等性质,就为一种全新的、更环保、更经济的先进陶瓷工艺开辟了道路。同时,这类研究还可能对环境科学有所贡献。例如,通过理解生物体如何调节其矿物质的水合状态及结晶行为等性质,我们可更好地保护和恢复珊瑚礁等重要生态系统。
此工作以“From salt water to bioceramics: Mimic nature through pressure-controlled hydration and crystallization” 发表在Science Advances。第一作者是香港城市大学博士生刘家华,香港城市大学的范俊教授、曾晓成院士、吕坚院士、和李扬扬教授为论文的通讯作者,其他合作作者包括香港城市大学博士后黄昌雄、博士生吴海坤、博士生龙耘辰、博士生唐新学、博士后李弘坤、博士后沈君达、科研助理张溢博、中科院深圳先进院周彬斌副研究员和新加坡A*STAR徐政涛教授。
图文解读:

图1. Mg-ACCP无机矿物凝胶的形貌表征。(A) 从盐水到生物陶瓷的示意图:稳定的无定形凝胶在压力作用下的融合,以及对水合和晶化的控制。(B-C) 透射电子显微镜图像,其中(C) 中的插图显示了选定区域电子衍射(SAED)图案。(D) 颗粒大小分布。E) 高分辨透射电子显微镜图像和钙、镁、磷和氧的元素分布图。

图2. 不同压力下制备的Mg-ACCP 生物陶瓷的表征。(A-E) SEM 图像和相应的二值处理图像(蓝线突出显示颗粒边界)。比例尺为 250 nm。 (F)的密度和透明度, 插图中显示光学照片。(G) 模量和硬度。

图3. 不同压力下制备的Mg-ACCP 生物陶瓷的水含量分析。 (A) 拉曼光谱。 (B) 拉曼水信号的放大(O-H 三种拉伸模式的高斯拟合)。 (C) 水拉曼信号的典型分析。 (D) 根据 (B) 计算得出的不同水合物质的峰面积百分比。 (E) 冻干片的 TGA 曲线。 (F) 显示三个脱水步骤的代表性 TGA 曲线。 (G) 从 (E) 获得的不同水合物质的重量百分比。

图4. Mg-ACCP生物陶瓷储存在环境条件下的结晶演变。(A) 压力和时间相关的结晶和融合行为。 (B-F) 对应于 (A) 中 B-F 点的代表性样品的 SEM 图像。
文章链接: https://www.science.org/doi/10.1126/sciadv.adk5047
作者介绍

刘家华 (第一作者): 香港城市大学材料科学与工程系2020级在读博士生,师从李扬扬教授和吕坚院士,硕博期间一直致力于生物矿化机理及其应用研究和柔性可穿戴电化学储能器件的开发,迄今已在国际权威期刊上发表研究型学术论文20余篇。

范俊教授(通讯作者):先后在清华大学、普林斯顿大学获得学士、博士学位。主要从事生物与能源材料领域的计算研究工作。近年来,以第一作者/通讯作者在 Nature Communications,ACS Nano,Advanced Materials,Small和Journal of Materials Chemistry A等发表论文。本课题组长期招收材料计算相关方向的博士研究生。课题组主页:https://ourphysics.org

曾晓成院士(通讯作者):香港城市大学材料科学与工程系系主任及讲座教授,美国材料研究会会士,欧洲科学院外籍院士。曾晓成教授长期从事表面界面物理化学及纳米材料计算和设计的研究,是受限纳米水和冰、疏水性表面、金和硅团簇,纳米催化,二维纳米材料及钙钛矿材料理论模拟领域的国际领军人之一。发表685篇SCI论文,其中23篇在Nature/Science及子刊上发表,25篇PNAS,69篇JACS,42 篇Nano Lett./ACS Nano,41篇Angew./AM/Adv.Energy Mater./Adv.Funct.Mater.,以及9篇Phys. Rev. Lett./Phys. Rev. X。论文总引用次数超过 53000 次 (H因子=118),2019-2023 科睿唯安(Clarivate Web of Science)高被引学者。

吕坚院士(通讯作者):香港城市大学工学院院长,机械工程学院讲座教授,先进结构材料研究中心主任,香港工程科学院院士,法国国家技术科学院士,国家贵金属材料工程研究中心香港分社理事、先进结构材料中心主任。2006年及2017年曾两次获得由法国总统亲自任命的“法国政府颁授法国国家荣誉骑士勋章”及“法国国家荣誉军团骑士勋章”,2018年获得第十二届光华工程HTH官网地址 奖。吕坚教授的研究方向涉及先进纳米结构材料的制备和力学性能,3D打印先进材料与新能源与低碳高效能源利用(太阳能海水淡化,电解水制氢),先进纳米与非晶结构材料制备与力学等。已取得34项欧、美、中专利授权,在本领域顶尖杂志Nature(封面文章)、Science、Nature Materials、Science Advances、Nature Communications、PRL、Materials Today、Advanced Materials、Advanced Science、Angew. Chem.等专业杂志上发表论文480余篇,总引用超过43000次。个人主页:https://www.cityu.edu.hk/mne/people/academic-staff/prof-lu-jian

李扬扬教授(通讯作者):北京大学化学系获学士学位,新加坡国立大学获硕士学位,美国加州大学圣地牙哥分校获博士学位。研究方向为金属基及陶瓷基无定形材料,着重表面等离激元及表面增强拉曼光谱(SERS)、电化学材料及生物矿化机理的研究。以第一或通讯作者身份在Science, Science Advances, Nature Communications, Advanced Materials, Advanced Functional Materials等学术期刊上发表多篇论文。课题组主页:https://www.labxing.com/yangli





