水合氢离子(H3O+)和氢氧根离子(OH−)的相互中和是一个非常基本的化学反应。电离和中和机制是理解各种化学环境的基础,包括星际介质中的低温化学、大气化学、酸碱现象和高温人工等离子体。特别是,“水离子”的形成和破坏在孤立或气相环境以及水溶液中引起了广泛的兴趣。最基本的电离中和平衡之一是H3O+ + OH− ⇌ 2H2O,水合氢离子和氢氧根离子之间通过质子转移(PT)相互中和,以及水的自电离逆反应。然而,关于这些决定纯水pH值的反应机制的直接实验证据有限。相对于这种教科书上的简单反应,分子离子的相互中和反应(MN)可以产生丰富多样的产物。由于典型的电离势和中性物质的电子亲和之间的巨大差异,MN反应中的多余能量允许多个竞争产物通道。在分离的水合氢离子和氢氧根离子的情况下,高达~9.77 eV的多余能量可用于激发由PT机制产生的对中性水分子。这些多余的能量可以作为动能释放或促进内部激发以及分子产物的破碎。此外,中性水合氢自由基的电离电位估计为4.3 eV,比OH自由基的1.8 eV电子亲和力高2.5 eV。因此,在孤立离子的情况下,应考虑基于选择性电子转移(ET)的MN机制。假设孤立的离子反应物和弱相互作用的中性自由基之间存在简单的库仑吸引,我们可以估计离子和中性电位在~6-Å距离处的交叉。这与主要ET的初步分配是一致的,因为这个距离明显大于PT反应发生的预期距离。虽然这种简单的估计已经被证明能够捕捉到与原子物种的正阴离子反应中ET的本质,但在应用于分子系统时,应该谨慎对待,正如最近一项由中性反应物到阳离子反应物的ET引发的库仑爆炸的实验和理论研究所证明的那样。因此,预计在更近距离内发生的PT等成键机制通常会与ET竞争,并导致不寻常的产物分布。
近日,耶路撒冷希伯来大学化学研究所Daniel Strasser研究团队报道了低温双静电离子束存储环(DESIREE)中,冷离子和孤立离子在低碰撞能量下相互中和反应的重合中性产物的三维成像。确定了主要的H2O + OH + H和2OH + H2产物通道,并将其归因于电子转移机制,而具有高内激发的H2O + H2O的少量贡献可归因于质子转移(PT)机制。所报道的机制解析的内部产物激发,以及碰撞能量和初始离子温度依赖性,为模拟电荷转移机制提供了基准。

图1 H3O+ + OH−中和反应的能量学© 2024 AAAS

图2重合三体产物渠道分析© 2024 AAAS

图3重合二体产物渠道分析© 2024 AAAS

图4总MN信号作为碰撞能量的函数© 2024 AAAS

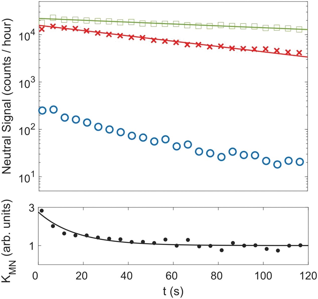
图5中性产率与离子贮存时间的关系© 2024 AAAS
相关研究成果以“The mutual neutralization of hydronium and hydroxide”为题发表在国际著名期刊Science上。
这项研究核心创新点在于通过对低能H3O+ + OH−碰撞产生的重合中性 MN 产物进行三维成像,将 PT 和 ET 对能量上可能的产物通道的贡献进行了解析,此外,动能释放(KER)成像提供了有关中性产物内部激发的信息,DESIREE 储存环中的长储存时间允许探测内部母离子温度和碰撞能量对 MN 反应的影响。
对低能H3O+ + OH−碰撞产生的一致中性碎片的分析显示了电子转移和质子转移机制的直接实验证据。虽然主要通道H2O + OH + H原则上可以同时来源于ET和PT两种机制,但三体2OH + H2通道可能只来源于ET,而二体2H2O只能由PT产生。动能谱表明,在2OH + H2的情况下,大部分多余能量以KER的形式释放,内部产物激发很少。KER峰的宽度为~1 ev,是仪器分辨率、离子反应物的初始内部激发和中性产物的最终激发共同作用的综合结果。在优势的H2O + OH + H通道中也观察到同样的事实,表明它也起源于ET。H2O + OH + H通道的低内部激发与[H3O]中间体的有效无障碍解离是一致的。此外,[H3O]基态上预测的~0.8 ev的H2消除势垒与低内部激发相结合,可能表明在电子激发电位上更直接的离解涉及非绝热动力学。相比之下,H3O+电荷交换离解或与慢电子离解重组形成的水分子可以表现出更高的内部激发,分别为~1.5 eV和>3 eV。然而,不同的[H3O]势被不同的机制填充,导致不同的能量分配和不同的产物通道是合理的。与ET机制相反,PT形成的两个水分子表现出较高的内激发。
分离的H3O+ + OH−的相互中和是测试竞争ET和PT反应理论模型的一个有价值的基准系统。这里提供的详细产物信息有望作为竞争ET和PT动力学的高级从头算模拟的测试。后续的研究——例如H5O2+,水阳离子的Zundel形式——将提供关于溶剂化效应的额外实验见解。孤立离子对系统的精确理论建模框架将揭示不同MN反应中ET和PT机制的共存和竞争,以及孤立或溶剂化系统的其他电荷转移反应。此外,在电离层、行星和星际介质环境中应用热离子测量的速率常数来模拟MN反应时,必须考虑到观察到的MN速率对离子反应物内部温度的依赖性。
文献来源:https://www.science.org/doi/10.1126/science.adk1950





