背景介绍
并苯(Acenes)是一类由不同数量苯环线性稠合而成的多环芳烃,因其优异的光电性质被广泛应用于有机半导体材料等领域(图1a)。然而,受限于合成上的巨大挑战,关于高阶并苯(苯环数量≥6)的研究十分有限。将并苯骨架中的碳碳双键替换为同等数量的硼氮单元,进而构筑并苯的硼氮等电子体,开创了一类新型硼氮杂有机半导体材料。目前报道的硼氮杂并苯主要包含1,2-硼氮杂苯和1,4-硼氮杂苯单元(图1b),两种硼氮杂环均含有6个π电子,因此并苯的硼氮等电子体依然保持了芳香性。近年来,硼氮杂并苯的合成及应用取得了长足的发展,但硼氮杂高阶并苯的合成依然充满挑战,并且发光效率普遍不高,发光性质调控策略非常有限,因此亟需发展硼氮等电子体的分子设计新理念。

图1. (a)并苯的结构通式;(b)已报道的硼氮等电子体结构基元;(c)本工作报道的局域反芳香性的硼氮杂并九苯
成果简介
近日,南开大学王小野课题组提出了一种具有局域反芳香性的硼氮等电子体分子设计新思路,合成了三个硼氮杂并九苯分子BN-1、BN-2以及BN-3,创造了硼氮杂并苯新的长度纪录。深入研究表明,双硼杂环与双氮杂环的相对位置对其局域反芳香性强度具有重要影响,进而调控了硼氮杂并苯分子轨道排布,从而促进了BN-3的高效发光(发光量子效率高达92%)。该工作提出的具有局域反芳香性的硼氮等电子设计新理念将为新型硼氮杂发光材料的发展提供新的思路。相关论文以题为:BN-Isosteres of Nonacene with Antiaromatic B2C4 and N2C4 Heterocycles: Synthesis and Strong Luminescence发表在Angewandte Chemie上。

图文解析
分子合成路线
三个分子的合成路线如图2所示,其核心步骤是先通过双重Buchwald–Hartwig偶联反应构建不同长度的双氮杂并苯3、7、10,然后利用硅硼交换反应构筑硼氮杂并九苯骨架,最后通过亲核取代反应在硼原子上引入位阻基团,获得空气稳定的目标分子BN-1、BN-2以及BN-3。

图2. 硼氮杂并九苯的合成路线。反应试剂与条件:(a) Pd(dba)2, Pt-Bu3•HBF4, t-BuONa, toluene, 110–120 °C, 18–24 h. (b) i) BBr3, heptane, 120 °C, 48 h; ii) MesMgBr, toluene, 0 °C to rt,18 h. Two-step yields: 6% for BN-1, 27% for BN-2, and 35% for BN-3. R1 = 3,5-(diisopropyl)phenyl; R2 = 4-tert-butylphenyl.
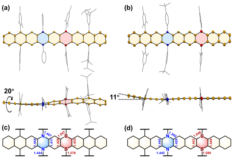
单晶结构解析与反芳香性讨论
分子BN-1和BN-2的单晶X射线衍射结构如图3所示。通过分析N2C4和B2C4环的键长,作者发现C–N单键键长(1.39–1.41 Å)短于三芳基胺C–N单键键长(1.42 Å);C–B单键键长(ca. 1.55 Å)短于三芳基硼C–B单键键长(1.58 Å);而两个杂环中的C=C双键键长(1.41–1.46 Å)则长于理想芳环的C=C双键键长(1.38 Å)。这些结果表明N2C4和B2C4环中的π电子是离域的,因此分别具有8π和4π电子反芳香性的特点。

图3. BN-1和BN-2的单晶结构解析
进一步的理论计算不仅证明了N2C4和B2C4环的反芳香性,而且NICS(1)zz值表明随着两个杂环相对位置变远,N2C4环的反芳香性逐渐下降,而B2C4环的反芳香性几乎不变(图4)。通过分子偶极矩计算以及对分子中性和电荷分离共振式的偶极矩贡献分析,作者发现两个杂环相距越远,电荷分离共振式对分子电子结构的贡献越大,进而减弱了N2C4环的反芳香性(图1c)。而B2C4环几乎不变的反芳香性则是由于其还受到右侧芳环的离域稳定作用,两种趋势相反的作用共同决定了其几乎不变的反芳香性。

图4. 芳香性的理论计算。(a-b)NICS(1)zz值;(c)2D-ICSS图
光物理性质表征
通过表征三个硼氮杂并九苯的光物理性质(图5),作者发现反芳香性的硼氮杂环掺杂使得原本不发光的并九苯产生了明显的荧光发射,特别是BN-3的发光效率(ΦF = 92%)远高于BN-1(ΦF = 51%)和BN-2(ΦF = 56%)。瞬态荧光光谱的测试结果表明三个分子具有相近的非辐射跃迁速率knr,而BN-3的辐射速率kr要比另外两个分子高出一个量级,这是其高效发光的决定性因素。

图5. 硼氮杂并九苯的光物理性质表征。(a)吸收光谱;(b)荧光光谱;(c)荧光寿命;(d)辐射速率kr、非辐射速率knr和发光效率ΦF的关系
分子轨道分析
为了进一步理解BN-3高效发光的原因,作者对比了两个反芳香性杂环、三个硼氮杂并九苯以及全碳并九苯的分子轨道分布。由图6可以看出,BN-1、BN-2和BN-3的LUMO与B2C4环的LUMO有着相似的分布特征,表明B2C4环决定了硼氮并九苯的LUMO分布。此外,BN-1、BN-2和BN-3相近的LUMO能级也与其B2C4环相似的反芳香性强度一致。另一方面,BN-1和BN-2的HOMO与N2C4环的HOMO有着相似的分布特征,表明N2C4环对硼氮并九苯的HOMO有着重要影响。从BN-1到BN-2,HOMO能级的降低与N2C4环反芳香性减弱有关。随着BN-3的N2C4环反芳香性的进一步降低,与N2C4环具有相似分布的分子轨道的能量继续降低,使其低于与BN-1和BN-2中HOMO-1分布相似的轨道(由并九苯HOMO决定的轨道),进而发生分子轨道排布的“翻转”。这种分子轨道排布的“翻转”使BN-3的HOMO和LUMO具有更大的重叠,有利于产生更大的跃迁振子强度(f = 0.240),进而实现更快的kr和更高的ΦF。

图6. N2C4和B2C4环、硼氮杂并九苯以及全碳并九苯激发态构型的分子轨道分布
结论与展望
综上所述,本工作提出了一种具有局域反芳香性的硼氮等电子体分子设计新理念,并在合成上突破了硼氮杂并苯的长度纪录,揭示了局域反芳香性对分子轨道排布的影响以及对辐射跃迁过程的调控,实现了硼氮杂高阶并苯的高效发光,建立了发光性质调控的新策略。该工作不仅从化学上拓展了硼氮杂多环芳烃的分子设计空间,也为硼氮杂高效发光材料的发展提供了新思路。
第一作者:博士生陈程
通讯作者:王小野研究员
通讯单位:南开大学
论文DOI:10.1002/anie.202316596
本文由王小野课题组供稿





