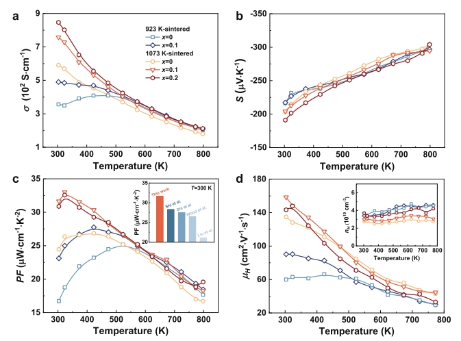
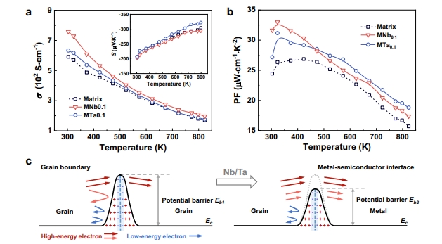
据清华新闻网报道,清华大学材料学院李敬锋教授课题组致力于元素丰度高的环境友好型新型热电材料的研发,围绕锑化镁(Mg3Sb2)基热电材料取得系列进展,在前期工作的基础上,近期研究发现,在Mg3Sb2晶界上嵌入某些(Nb和Ta)高导电金属纳米相,可有效降低界面势垒,增强近室温的电输运性能,实现了热电优值(ZT值)的峰值和平均值的同时提升。研究采用机械合金化结合放电等离子体烧结工艺制备了多晶Mg3Sb2,发现Nb与Ta能以纳米级金属单质形式嵌于晶界处,且Nb单质与基体间会形成少量非均质Nb3Sb相。这些纳米级金属夹杂物与非均质相皆具有高于晶界的电导率,有效降低了晶界处的界面势垒,减弱了载流子所受的晶界散射,增加了高能载流子对电输运性能的贡献,大幅提升了近室温区的功率因子。同时,纳米级的金属颗粒会对声子产生散射作用,有效降低晶格热导率。通过电声输运的协同调控,整个测试温度范围内的热电性能均得到大幅提升。最终,在Nb复合的n型Mg3(Sb,Bi)2材料中,zT值在300 K和798 K时分别提升至0.80和2.04,为目前已报道的最高值,由此制备的单臂器件热电能量转换效率在T=470 K时可达15%,在宽温域内显现出优异的应用潜力。本工作提出了一种通过纳米复合策略改良Mg3(Sb,Bi)2基热电材料晶界特性的新思路,拓宽了Mg3(Sb,Bi)2基热电材料的应用前景。相关研究成果以“具有高平均及峰值zT的宽温域n型Mg3(Sb,Bi)2基热电材料”(Wide-temperature-range thermoelectric n-type Mg3(Sb,Bi)2 with high average and peakzT values)为题,于近日发表在《自然·通讯》(Nature Communications)上。材料学院2019级博士生李静薇为论文第一作者,清华大学李敬锋教授、庄华鹭博士后为论文通讯作者,论文的其他重要合作者包括南方HTH官网地址 大学刘玮书教授和国家纳米科学中心郑强研究员等。

【数据概览】

图1:铌添加样品的电输运性质。

图2:铌夹杂物引起的晶粒尺寸演变。

图3:显微图片及界面分析

图4:铌添加样品的热导率和ZT值。

图5:钽添加样品的电输运性质和改性界面势垒的说明。

图6:与之前研究对比ZT值和转换效率。
论文地址:https://www.nature.com/articles/s41467-023-43228-9
本文主要内容参考:https://www.tsinghua.edu.cn/info/1175/108058.htm





