一、【导读】
近年来,高能量密度的锂金属电池不断发展,但随之而来的电池安全问题引发了研究界的一片担忧。其中,高反应活性的锂金属与液态电解质的化学反应会不断消耗电解液,且循环过程中形成的锂枝晶也会加速电池的安全问题。在这其中,匹配NMC811正极的全固态锂金属电池(ASSLBs)可以满足电动汽车和大型储能系统的高能量密度和安全要求,但ASSLBs循环需要一个高的堆叠压力去减少界面处的高界面阻抗,这也限制了ASSLBs的商业化进程。一般来说,在负极侧,通过引入一些具有高导电性的层(比如Au和Al等),高嵌锂电位的中间层(Si、Sn、Sb和In等)和一些疏锂界面层,但不能同时发挥防止SSE还原和抑制锂枝晶生长的功能。在正极侧,常见的使用LiNbO3改性NMC811正极材料在循环过后仍然具有清晰可见的裂纹,这也证明了现有的正极包覆层在长循环过程中的稳定性一直是制约电池性能提升的最大障碍!如何高效构建正负极同时稳定的界面设计,促使NMC811||Li ASSLB即使在低堆叠压力下也能实现优异电化学性能,这是促进ASSLBs商业化进程的关键环节!
二、【成果掠影】
在此,美国马里兰大学王春生教授等人(共同通讯作者)在正极测采用不同重量比的Bi和Mg粉体球磨法合成了不同成分的Mg-Bi合金(MgxBi84;x=0、2、8、16、24)。由于Mg16Bi84使Li6PS5Cl在1.9 mA cm–2和1.9 mAh cm–2下达到最高的临界电流密度(CCD),选择它来研究Li沉积/剥离活化过程中的Mg迁移过程。Mg16Bi84负极夹层的优点包括:LiMgSx SEI的形成保护了Li6PS5Cl免受还原,并将Li6PS5Cl电解质与Li3Bi层紧密接触;同时,Mg向锂负极的迁移将Li3Bi层粘结到锂负极,在高容量容量时在多孔Li3Bi层的孔中沉积,有效地缓解Li沉积/剥离过程中的应力变化,降低了堆积压力;Li3Bi/Li6PS5Cl界面的高电位(约0.7 V)进一步稳定了Li6PS5Cl电解质,加速了Mg的迁移。更加重要的一点是,Li3Bi的高离子/电子电导率确保了Li沉积在Li3Bi/Li界面上,而不是在Li3Bi/Li6PS5Cl界面上。
在正极侧,作者使用一种富氟(F)的界面层,其中F阴离子能够在4.3V时从NMC811表面层迁移到NMC811体相中,从而使得表明涂覆转化为F掺杂,最终使得NMC811从表面到体相的材料稳定性得到大幅度提高,即使在2.5 MPa的低堆叠压力下也能实现极其优异的性能。
相关研究成果以“Interface design for all-solid-state lithium batteries”为题发表在Nature上。
三、【核心创新点】
1.本文负极使用Mg16Bi84中间层作为界面包覆层,锂沉积/剥离过程中形成的LiMgSx SEI保护了Li6PS5Cl免受还原,并将Li6PS5Cl电解质与Li3Bi层紧密接触;
2.本文正极使用一种富氟(F)的界面层,其中F阴离子能够在4.3V时从NMC811表面层迁移到NMC811体相中,从而使得表明涂覆转化为F掺杂,最终使得NMC811从表面到体相的材料稳定性得到大幅度提高。
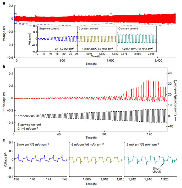
四、【数据概览】
图1 Mg16Bi84向LiMgSx/Li3Bi/LiMg原位转化的设计原理© 2023 Springer Nature
图2 Li/Mg16Bi84-Li6PS5Cl-Mg16Bi84/Li对称电池的电化学性能© 2023 Springer Nature
图3 全电池电化学性能测试© 2023 Springer Nature
图4 F掺杂NMC811正极和Mg16Bi84夹层负极的全电池表征和电化学性能© 2023 Springer Nature
五、【成果启示】
综上所述,本文设计和开发了一种兼具正极和负极的界面层,共同提高全固态锂金属电池性能。其中在Li/Li6PS5Cl界面上设计了Mg16Bi84层抑制Li枝晶的生长,在NMC811正极上设计了富F层以降低电池界面电阻。同时,通过锂沉积-剥离过程,Mg16Bi84转换为多功能LiMgSx-Li3Bi-LiMg结构层作为固体电解质中间相,而NMC811正极在4.3 V的高电位下F阴离子电化学迁移到NMC811体相中,使得富F界面的NMC811转化为掺杂F的NMC811正极,双重作用实现了具有商业化前景的全固态锂金属电池。
文献链接:“Interface design for all-solid-state lithium batteries”(Nature,2023,10.1038/s41586-023-06653-w)
本文由材料人CYM编译供稿。





